Acta Agriculturae Boreali-Sinica ›› 2026, Vol. 41 ›› Issue (1): 97-104. doi: 10.7668/hbnxb.20195921

Special Issue: Wheat Hot Article Cultivation & Physiology

• Tillage & Cultivation·Physiology & Biochemistry • Previous Articles     Next Articles

Effects of Sowing Date and Planting Density on Physiological Characteristics, Yield and Quality of Strong Gluten Wheat Kexing 3302

YANG Yang1, CAO Chenchen1, MA Wenhua1, XU Beiming1, MA Dongyun1, DONG Ying2, YANG Yang1,3   

  1. 1 College of Agronomy,Henan Agricultural University,National Wheat Engineering Technology Research Center,Zhengzhou 450046,China
    2 Henan Xiuwu Agriculture and Rural Bureau, Xiuwu 454350,China
    3 Zhengzhou Railway Vocational and Technical College,Zhengzhou 451460,China
  • Received:2025-05-13 Published:2026-03-10

Abstract:

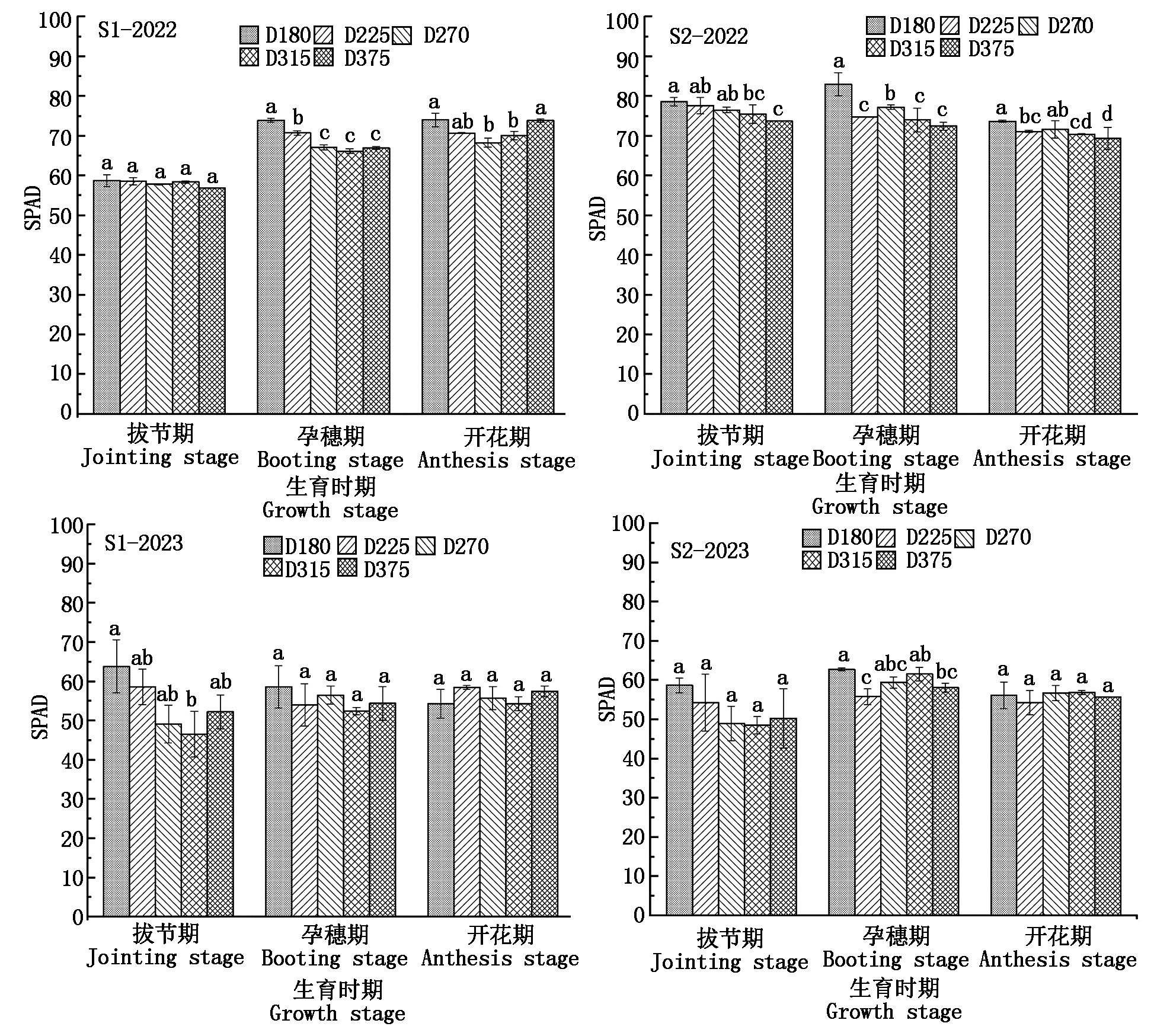
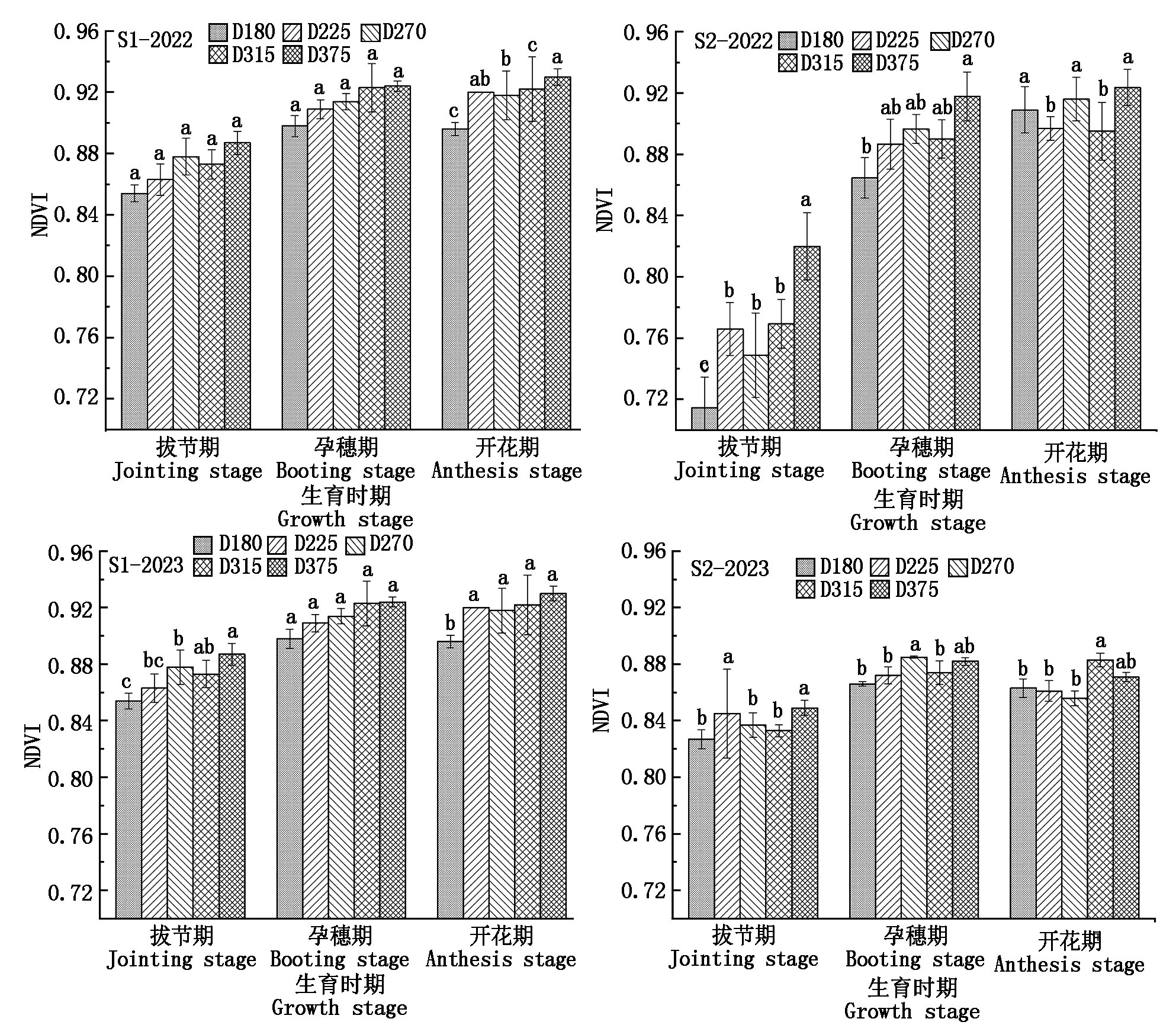
To identify the suitable sowing date and planting density for the synergistic improvement of yield and quality of strong gluten wheat,the strong gluten wheat variety Kexing 3302 was used as the experimental material.Two sowing dates(October 18(S1)and October 28(S2))and five densities(basic seedlings of 180×104 plants/ha(D180),225×104 plants/ha(D225),270×104 plants/ha(D270),315×104 plants/ha(D315),and 375×104 plants/ha(D375))were set.Field experiments were conducted in 2021—2023 to investigate the effects of sowing date and density on physiological indicators,yield,and quality of wheat plants.The results showed that the relative chlorophyll content(SPAD)of wheat leaves generally decreased with the increase of planting density,and reached its maximum at most growth stages under low-density treatment.With the delay of the sowing date,the relative chlorophyll content of leaves showed an upward trend,with S1 sowing date being lower than S2.As planting density increased,the normalized difference vegetation index(NDVI)generally showed an upward trend,and the NDVI value at S2 sowing date was significantly lower than that at S1 sowing date.The number of spikes and grain yield decreased with the delay of the planting density,but increased with the increase of planting density,with the highest yield under D375 treatment.With the delay of the sowing date,both protein content and wet gluten content generally showed a slight downward trend,but the grain protein content of all treatments was above 13.5%.The total starch content of wheat grains generally decreased with the increase of density at S1 sowing date,but increased with the increase of density at S2 sowing date.In addition,the peak viscosity,trough viscosity,final viscosity,and breakdown value generally increased with the increase of density under the two sowing dates.Parameters such as dough stability time and water absorption rate did not exhibit obvious regular pattern under different sowing dates and planting density,but all met the standards for strong gluten wheat.In summary,at sowing date S1,the planting density of Kexing 3302 at 315×104—375×104 plants/ha can achieve high quality and high yield.

Key words: Wheat, Sowing date, Planting density, Physiological index, Yield, Grain quality

CLC Number: 

Cite this article

YANG Yang, CAO Chenchen, MA Wenhua, XU Beiming, MA Dongyun, DONG Ying, YANG Yang. Effects of Sowing Date and Planting Density on Physiological Characteristics, Yield and Quality of Strong Gluten Wheat Kexing 3302[J]. Acta Agriculturae Boreali-Sinica, 2026, 41(1): 97-104. doi: 10.7668/hbnxb.20195921.

share this article