| [1] |
Li P, Chen Y H, Lu J, Zhang C Q, Liu Q Q, Li Q F. Genes and their molecular functions determining seed structure,components,and quality of rice[J]. Rice, 2022, 15(1):18.doi: 10.1186/s12284-022-00562-8.
|
| [2] |
彭波, 邱静, 彭静, 张志国, 刘岩, 黄雅琴, 汪全秀, 赵金会, 周伟, 孙艳芳. NAC转录因子在水稻遗传改良中的研究进展[J]. 信阳师范学院学报(自然科学版), 2024, 37(4):540-550.doi: 10.3969/j.issn.1003-0972.2024.04.017.
|
|
Peng B, Qiu J, Peng J, Zhang Z G, Liu Y, Huang Y Q, Wang Q X, Zhao J H, Zhou W, Sun Y F. Research progress on NAC transcription factors in genetic improvement of rice[J]. Journal of Xinyang Normal University(Natural Science Edition), 2024, 37(4):540-550.
|
| [3] |
Wing R A, Purugganan M D, Zhang Q F. The rice genome revolution:from an ancient grain to Green super rice[J]. Nature Reviews Genetics, 2018, 19(8):505-517.doi: 10.1038/s41576-018-0024-z.
pmid: 29872215
|
| [4] |
Zhao M C, Lin Y J, Chen H. Improving nutritional quality of rice for human health[J]. Theoretical and Applied Genetics, 2020, 133(5):1397-1413.doi: 10.1007/s00122-019-03530-x.
pmid: 31915876
|
| [5] |
Zhou H, Xia D, He Y Q. Rice grain quality-traditional traits for high quality rice and health-plus substances[J]. Molecular Breeding, 2019, 40(1):1.doi: 10.1007/s11032-019-1080-6.
|
| [6] |
彭波, 孙晓宇, 张庆茜, 彭娟, 娄安琪, 孙艳芳, 庞瑞华, 周伟, 汪全秀. 水稻 OsMDH基因的克隆及其生物信息学分析[J]. 信阳师范学院学报(自然科学版), 2023, 36(2):243-248.doi: 10.3969/j.issn.1003-0972.2023.02.014.
|
|
Peng B, Sun X Y, Zhang Q X, Peng J, Lou A Q, Sun Y F, Pang R H, Zhou W, Wang Q X. Cloning and bioinformatics analysis of OsMDH gene in rice[J]. Journal of Xinyang Normal University(Natural Science Edition), 2023, 36(2):243-248.
|
| [7] |
Zhao D S, Zhang C Q, Li Q F, Liu Q Q. Genetic control of grain appearance quality in rice[J]. Biotechnology Advances, 2022, 60:108014.doi: 10.1016/j.biotechadv.2022.108014.
|
| [8] |
Li Y, Xiao J H, Chen L L, Huang X H, Cheng Z K, Han B, Zhang Q F, Wu C Y. Rice functional genomics research:past decade and future[J]. Molecular Plant, 2018, 11(3):359-380.doi: 10.1016/j.molp.2018.01.007.
|
| [9] |
朱金燕, 王晴晴, 王军, 范方军, 李文奇, 王芳权, 王绪鹏, 仲维功, 杨杰. 水稻垩白基因 Chalk5功能标记的开发与应用[J]. 华北农学报, 2017, 32(1):1-8.doi: 10.7668/hbnxb.2017.01.001.
|
|
Zhu J Y, Wang Q Q, Wang J, Fan F J, Li W Q, Wang F Q, Wang X P, Zhong W G, Yang J. Development and application of two functional markers for grain chalkiness gene Chalk5 in rice[J]. Acta Agriculturae Boreali-Sinica, 2017, 32(1):1-8.
|
| [10] |
Peng B, Liu Y, Qiu J, Peng J, Sun X Y, Tian X Y, Zhang Z G, Huang Y Q, Pang R H, Zhou W, Zhao J H, Sun Y F, Wang Q X. OsG6PGH1 affects various grain quality traits and participates in the salt stress response of rice[J]. Frontiers in Plant Science, 2024, 15:1436998.doi: 10.3389/fpls.2024.1436998.
|
| [11] |
|
|
Yang W F, Zhan P L, Lin S J, Gou Y J, Zhang G Q, Wang S K. Research progress of grain shape genetics in rice[J]. Journal of South China Agricultural University, 2019, 40(5):203-210.
|
| [12] |
Balindong J L, Ward R M, Rose T J, Liu L, Raymond C A, Snell P J, Ovenden B W, Waters D L E. Rice grain protein composition influences head rice yield[J]. Cereal Chemistry, 2018, 95(2):253-263.doi: 10.1002/cche.10031.
|
| [13] |
Tong C, Gao H Y, Luo S J, Liu L, Bao J S. Impact of postharvest operations on rice grain quality:a review[J]. Comprehensive Reviews in Food Science and Food Safety, 2019, 18(3):626-640.doi: 10.1111/1541-4337.12439.
|
| [14] |
Bao J S, Deng B W, Zhang L. Molecular and genetic bases of rice cooking and eating quality:an updated review[J]. Cereal Chemistry, 2023, 100(6):1220-1233.doi: 10.1002/cche.10715.
|
| [15] |
Li Y F, Yang Z, Yang C K, Liu Z H, Shen S Q, Zhan C S, Lyu Y Y, Zhang F, Li K, Shi Y H, Zhou J J, Liu X Q, Fang C Y, Fernie A R, Li J, Luo J. The NET locus determines the food taste,cooking and nutrition quality of rice[J]. Science Bulletin, 2022, 67(20):2045-2049.doi: 10.1016/j.scib.2022.09.023.
|
| [16] |
Peng B, Zhang Q X, Tian X Y, Sun Y F, Huang X H, Pang R H, Wang Q X, Zhou W, Yuan H Y, Yang F, Peng J, Song H L, Influencing factors of grain nutritional quality and its genetic improvement strategy in rice[J]. Journal of Biotechnology Research, 2020(71):1-11.doi: 10.32861/jbr.71.1.11.
|
| [17] |
Jayaprakash G, Bains A, Chawla P, Fogarasi M, Fogarasi S. A narrative review on rice proteins:current scenario and food industrial application[J]. Polymers, 2022, 14(15):3003.doi: 10.3390/polym14153003.
|
| [18] |
Misbah R, Muhammad A, Muhammad I, Sultan A, Rana A R K, Mohsin R, Farrah S, Neelum S. Estimation of amylose,protein and moisture content stability of rice in multi locations[J]. African Journal of Agricultural Research, 2018, 13(23):1213-1219.doi: 10.5897/ajar2018.13085.
|
| [19] |
Chen P L, Shen Z K, Ming L C, Li Y B, Dan W H, Lou G M, Peng B, Wu B, Li Y H, Zhao D, Gao G J, Zhang Q L, Xiao J H, Li X H, Wang G W, He Y Q. Genetic basis of variation in rice seed storage protein(albumin,globulin,prolamin,and glutelin)content revealed by genome-wide association analysis[J]. Frontiers in Plant Science, 2018, 9:612.doi: 10.3389/fpls.2018.00612.
|
| [20] |
Peng B, Wang L Q, Fan C C, Jiang G H, Luo L J, Li Y B, He Y Q. Comparative mapping of chalkiness components in rice using five populations across two environments[J]. BMC Genetics, 2014, 15(1):49.doi: 10.1186/1471-2156-15-49.
|
| [21] |
He Y, Wang S Z, Ding Y. Identification of novel glutelin subunits and a comparison of glutelin composition between Japonica and Indica rice( Oryza sativa L.)[J]. Journal of Cereal Science, 2013, 57(3):362-371.doi: 10.1016/j.jcs.2012.12.009.
|
| [22] |
Lu Y E, Song Z Y, Lu K, Lian X M, Cai H M. Molecular characterization, expression and functional analysis of the amino acid transporter gene family(OsAATs)in rice[J]. Acta Physiologiae Plantarum, 2012, 34(5):1943-1962.doi: 10.1007/s11738-012-0995-x.
|
| [23] |
Tegeder M, Masclaux-Daubresse C. Source and sink mechanisms of nitrogen transport and use[J]. New Phytologist, 2018, 217(1):35-53.doi: 10.1111/nph.14876.
pmid: 29120059
|
| [24] |
Ji Y Y, Huang W T, Wu B W, Fang Z M, Wang X L. The amino acid transporter AAP1 mediates growth and grain yield by regulating neutral amino acid uptake and reallocation in Oryza sativa[J]. Journal of Experimental Botany, 2020, 71(16):4763-4777.doi: 10.1093/jxb/eraa256.
|
| [25] |
Pereira E G, Bucher C P C, Bucher C A, Santos L A, Lerin J, Catarina C S, Fernandes M S. The amino acid transporter OsAAP1 regulates the fertility of spikelets and the efficient use of N in rice[J]. Plant and Soil, 2022, 480(1):507-521.doi: 10.1007/s11104-022-05598-9.
|
| [26] |
Fang Z M, Wu B W, Ji Y Y. The amino acid transporter OsAAP4 contributes to rice tillering and grain yield by regulating neutral amino acid allocation through two splicing variants[J]. Rice, 2021, 14(1):2.doi: 10.1186/s12284-020-00446-9.
pmid: 33409665
|
| [27] |
Lu K, Wu B W, Wang J, Zhu W, Nie H P, Qian J J, Huang W T, Fang Z M. Blocking amino acid transporter OsAAP3 improves grain yield by promoting outgrowth buds and increasing tiller number in rice[J]. Plant Biotechnology Journal, 2018, 16(10):1710-1722.doi: 10.1111/pbi.12907.
|
| [28] |
Wei Q L, Yan Z W, Xiong Y F, Fang Z M. Altered expression of OsAAP3 influences rice lesion mimic and leaf senescence by regulating arginine transport and nitric oxide pathway[J]. International Journal of Molecular Sciences, 2021, 22(4):2181.doi: 10.3390/ijms22042181.
|
| [29] |
Wang J, Wu B W, Lu K, Wei Q, Qian J J, Chen Y P, Fang Z M. The amino acid permease 5(OsAAP5)regulates tiller number and grain yield in rice[J]. Plant Physiology, 2019, 180(2):1031-1045.doi: 10.1104/pp.19.00034.
pmid: 30890663
|
| [30] |
Peng B, Kong H L, Li Y B, Wang L Q, Zhong M, Sun L, Gao G J, Zhang Q L, Luo L J, Wang G W, Xie W B, Chen J X, Yao W, Peng Y, Lei L, Lian X M, Xiao J H, Xu C G, Li X H, He Y Q. OsAAP6 functions as an important regulator of grain protein content and nutritional quality in rice[J]. Nature Communications, 2014, 5:4847.doi: 10.1038/ncomms5847.
pmid: 25209128
|
| [31] |
彭波, 孙晓宇, 邱静, 彭娟, 赵强, 孙艳芳, 宋晓华, 张志国, 周伟, 汪全秀. 基于iTRAQ蛋白质组学的 OsAAP6不同转基因水稻胚乳差异蛋白筛选[J]. 南方农业学报, 2024, 55(4):1060-1069.doi: 10.3969/j.issn.2095-1191.2024.04.014.
|
|
Peng B, Sun X Y, Qiu J, Peng J, Zhao Q, Sun Y F, Song X H, Zhang Z G, Zhou W, Wang Q X. Screening differential proteins in OsAAP6 different transgenic rice endosperms based on iTRAQ proteomics[J]. Journal of Southern Agriculture, 2024, 55(4):1060-1069.
|
| [32] |
Taylor M R, Reinders A, Ward J M. Transport function of rice amino acid permeases(AAPs)[J]. Plant and Cell Physiology, 2015, 56(7):1355-1363.doi: 10.1093/pcp/pcv053.
|
| [33] |
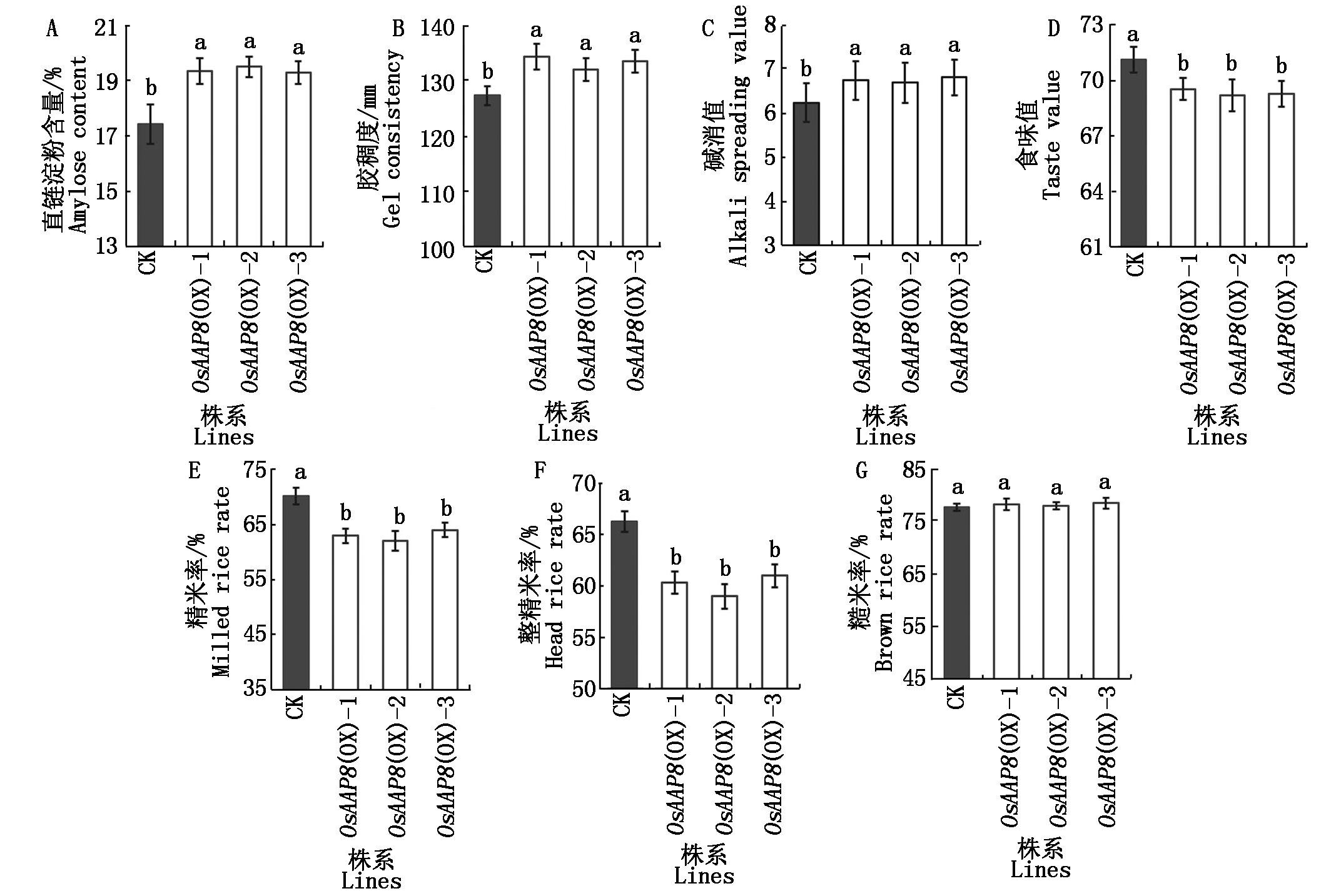
Peng B, Zhang Q X, Liu Y, Zhao Q, Zhao J H, Zhang Z G, Sun X Y, Peng J, Sun Y F, Song X H, Guo G Y, Huang Y Q, Pang R H, Zhou W, Wang Q X. OsAAP8 mutation leads to significant improvement in the nutritional quality and appearance of rice grains[J]. Molecular Breeding, 2024, 44(5):34.doi: 10.1007/s11032-024-01473-w.
|
| [34] |
Wang S Y, Yang Y H, Guo M, Zhong C Y, Yan C J, Sun S Y. Targeted mutagenesis of amino acid transporter genes for rice quality improvement using the CRISPR/Cas9 system[J]. The Crop Journal, 2020, 8(3):457-464.doi: 10.1016/j.cj.2020.02.005.
|
| [35] |
Yang Y H, Zhang Y, Sun Z X, Shen Z Y, Li Y G, Guo Y F, Feng Y T, Sun S Y, Guo M, Hu Z, Yan C J. Knocking out OsAAP11 to improve rice grain quality using CRISPR/Cas9 system[J]. International Journal of Molecular Sciences, 2023, 24(18):14360.doi: 10.3390/ijms241814360.
|
| [36] |
Jin F, Huang W T, Xie P F, Wu B W, Zhao Q Z, Fang Z M. Amino acid permease OsAAP12 negatively regulates rice tillers and grain yield by transporting specific amino acids to affect nitrogen and cytokinin pathways[J]. Plant Science, 2024, 347:112202.doi: 10.1016/j.plantsci.2024.112202.
|
| [37] |
聂圣松, 李泓雨, 张林, 杨过, 杭俊楠, 黄玮婷, 方中明. 水稻氨基酸透性酶基因 OsAAP13的时空表达特性分析[J]. 分子植物育种, 2023, 21(23):7667-7676.doi: 10.13271/j.mpb.021.007667.
|
|
Nie S S, Li H Y, Zhang L, Yang G, Hang J N, Huang W T, Fang Z M. Spatiotemporal expression characterization of rice amino acid permease gene OsAAP13[J]. Molecular Plant Breeding, 2023, 21(23):7667-7676.
|
| [38] |
Yang G, Wei X L, Fang Z M. Melatonin mediates axillary bud outgrowth by improving nitrogen assimilation and transport in rice[J]. Frontiers in Plant Science, 2022, 13:900262.doi: 10.3389/fpls.2022.900262.
|
| [39] |
Yang X Y, Yang G, Wei X L, Huang W T, Fang Z M. OsAAP15,an amino acid transporter in response to nitrogen concentration,mediates panicle branching and grain yield in rice[J]. Plant Science, 2023, 330:111640.doi: 10.1016/j.plantsci.2023.111640.
|
| [40] |
Nayak I, Sahoo B, Pradhan C, Balasubramaniasai C, Prabhukarthikeyan S R, Katara J L, Meher J, Chung S M, Gaafar A Z, Hodhod M S, Kherawat B S, Parameswaran C, Kesawat M S, Samantaray S. Genome-wide analysis of amino acid transporter gene family revealed that the allele unique to the aus variety is associated with amino acid permease 17( OsAAP17)amplifies both the tiller count and yield in indica rice( Oryza sativa L.)[J]. Agronomy, 2023, 13(10):2629.doi: 10.3390/agronomy13102629.
|
| [41] |
Peng B, Liu Y, Sun X Y, Zhao Q, Qiu J, Tian X Y, Peng J, Zhang Z G, Wang Y J, Huang Y Q, Pang R H, Zhou W, Qi Y L, Sun Y F, Wang Q X, He Y Q. The OsGAPC3 mutation significantly affects grain quality traits and improves the nutritional quality of rice[J]. Frontiers in Plant Science, 2024, 15:1470316.doi: 10.3389/fpls.2024.1470316.
|
| [47] |
张浩, 柳絮, 宣宁, 张华, 高瑞钰, 赵倩倩, 姚方印. 分子标记辅助选择培育低直链淀粉含量抗除草剂水稻[J]. 华北农学报, 2020, 35(S1):78-84.doi: 10.7668/hbnxb.20190894.
|
|
Zhang H, Liu X, Xuan N, Zhang H, GAO R Y, Zhao Q Q, Yao F Y. Cultivation of herbicide resistance rice with low amylose by molecular marker-assisted selection[J]. Acta Agriculturae Boreali-Sinica, 2020, 35(S1):78-84.
doi: 10.7668/hbnxb.20190894
|
| [48] |
Zhang G Y, Cheng Z J, Zhang X, Guo X P, Su N, Jiang L, Mao L, Wan J M. Double repression of soluble starch synthase genes SSIIa and SSIIIa in rice( Oryza sativa L.) uncovers interactive effects on the physicochemical properties of starch[J]. Genome, 2011, 54(6):448-459.doi: 10.1139/g11-010.
|
| [42] |
Dias C S, Rios J A, Einhardt A M, Oliveira L M, Chaves J A A, Rodrigues F A. Glutamate potentiates rice resistance to blast[J]. Tropical Plant Pathology, 2020, 45(2):136-142.doi: 10.1007/s40858-019-00327-7.
|
| [43] |
Jiang M, Jiang J, Li S, Li M, Tan Y Y, Song S Y, Shu Q Y, Huang J Z. Glutamate alleviates cadmium toxicity in rice via suppressing cadmium uptake and translocation[J]. Journal of Hazardous Materials, 2020, 384:121319.doi: 10.1016/j.jhazmat.2019.121319.
|
| [44] |
Zhang C Q, Zhu J H, Chen S J, Fan X L, Li Q F, Lu Y, Wang M, Yu H X, Yi C D, Tang S Z, Gu M H, Liu Q Q. Wx lv,the ancestral allele of rice Waxy gene[J]. Molecular Plant, 2019, 12(8):1157-1166.doi: 10.1016/j.molp.2019.05.011.
|
| [45] |
Pang Y L, Ali J, Wang X Q, Franje N J, Revilleza J E, Xu J L, Li Z K. Relationship of rice grain amylose,gelatinization temperature and pasting properties for breeding better eating and cooking quality of rice varieties[J]. PLoS One, 2016, 11(12):e0168483.doi: 10.1371/journal.pone.0168483.
|
| [46] |
Zhang W, Liu Y X, Luo X L, Zeng X F. Pasting,cooking,and digestible properties of Japonica rice with different amylose contents[J]. International Journal of Food Properties, 2022, 25(1):936-947.doi: 10.1080/10942912.2022.2069806.
|