华北农学报 ›› 2025, Vol. 40 ›› Issue (S1): 70-77. doi: 10.7668/hbnxb.20194974

所属专题: 玉米 栽培生理

• 耕作栽培·生理生化 • 上一篇    下一篇

咸淡混合水喷灌对夏玉米根系分布、光合特性及产量的调控效应

韩清1, 郭子糠2, 王罕博3,4, 陈文彬3,4, 王海叶3,4, 顾宝群3,4, 张大胜3,4, 焦艳平3,4, 王铁强3,4   

  1. 1 河北省水务中心,河北 石家庄 050000
    2 河北科技师范学院 农学与生物科技学院,河北省作物逆境生物学重点实验室,河北 秦皇岛 066004
    3 河北省水利科学研究院,河北 石家庄 050051
    4 河北省农业节水技术创新中心,河北 石家庄 050051
  • 收稿日期:2025-03-07 出版日期:2025-12-29
  • 通讯作者:
    王罕博(1986-),男,湖北襄阳人,高级工程师,博士,主要从事农田水利研究。
  • 作者简介:

    韩清(1971-),男,河北石家庄人,正高级工程师,主要从事水利水电工程研究。

    韩清、郭子糠为同等贡献作者。
  • 基金资助:
    河北省水利科技计划项目(2020-07); 河北省水利科技计划项目(2022-20); 河北省水利科技计划项目(HBST2424-03); 河北省重点研发计划项目(22374205D); 国家重点研发计划课题项目(2016YFC0401403)

Regulating Effects of Sprinkling Irrigation Using Brackish and Fresh Mixed Water on Root Distribution,Photosynthetic Characteristics and Yield of Summer Maize

HAN Qing1, GUO Zikang2, WANG Hanbo3,4, CHEN Wenbin3,4, WANG Haiye3,4, GU Baoqun3,4, ZHANG Dasheng3,4, JIAO Yanping3,4, WANG Tieqiang3,4   

  1. 1 Hebei Provincial Water Affairs Center,Shijiazhuang 050000,China
    2 College of Agronomy and Biotechnology Hebei Key Laboratory of Crop Stress Biology,Hebei Normal University of Science and Technology, Qinhuangdao 066004,China
    3 Hebei Provincial Academy of Water Resources Sciences,Shijiazhuang 050051,China
    4 Hebei Technology Innovation Center of Agricultural Water Saving,Shijiazhuang 050051,China
  • Received:2025-03-07 Published:2025-12-29

摘要:

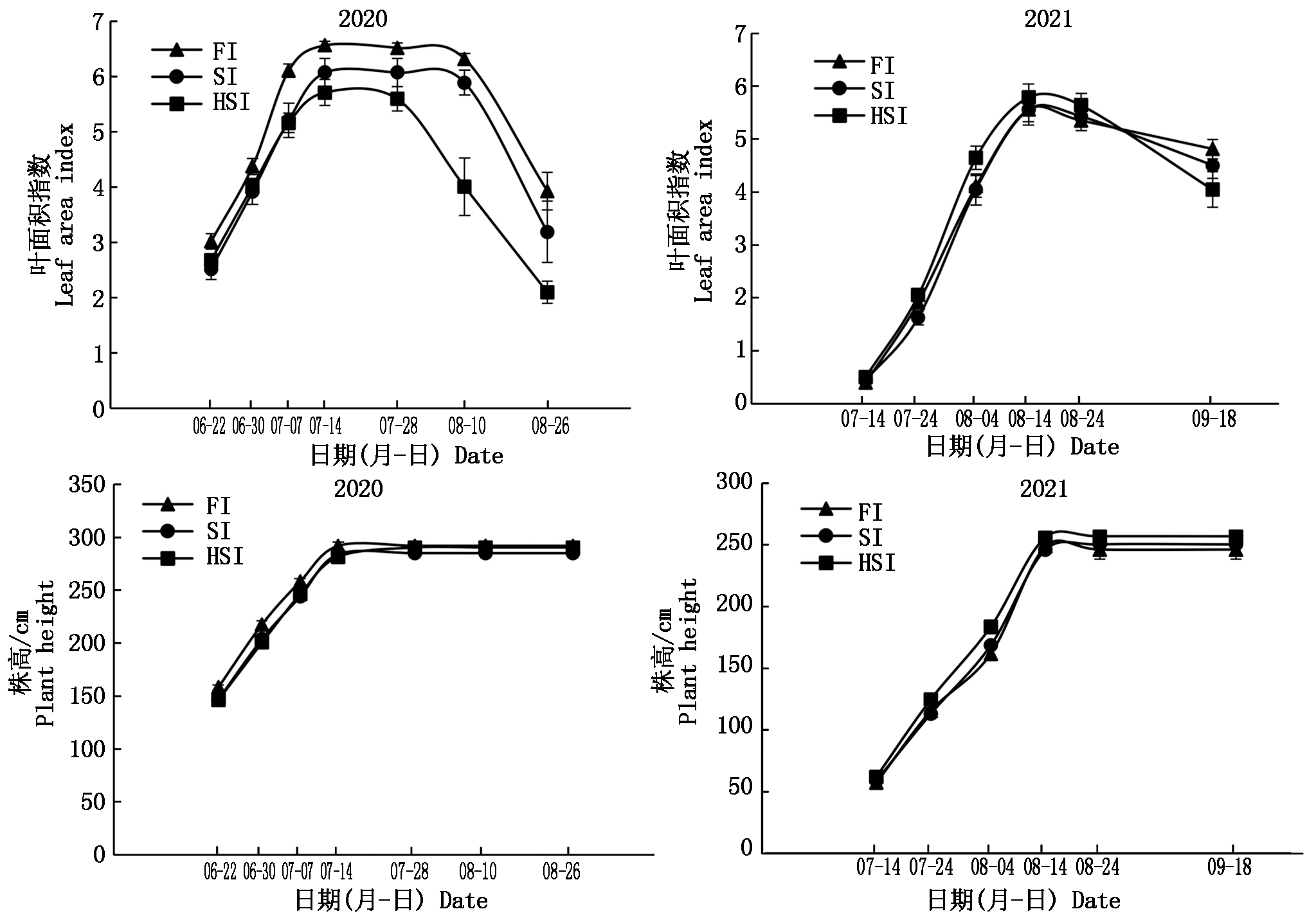
研究咸淡混合水喷灌对夏玉米生长发育及产量的影响,对缓解淡水资源短缺,促进非常规水资源利用,保障夏玉米生产具有重要意义。在河北省黑龙港流域中部平原区开展连续2 a的田间试验,揭示淡水喷灌、2 g/L咸淡混合水喷灌及3 g/L咸淡混合水喷灌对夏玉米根系分布、光合特性及产量的影响。结果表明:2 a 2 g/L咸淡混合水喷灌0~60 cm土层全生育期平均根干质量密度较淡水喷灌降低了7%~9%,但差异不显著,而3 g/L喷灌显著降低了19%~26%。相比于淡水喷灌,2 a 2,3 g/L咸淡混合水喷灌对叶片光合特性均有不利影响,尤其是3 g/L咸淡混合水喷灌,其净光合速率、气孔导度和光能利用效率分别显著降低了29%~37%,40%~49%和29%~35%,严重影响叶片光合能力。2020年2 g/L咸淡混合水喷灌叶面积指数较淡水喷灌降低了15%,但差异不显著,3 g/L咸淡混合水喷灌叶面积指数显著降低了28%;2021年,全生育期内不同处理间的夏玉米叶面积指数无显著差异。对于株高,2 a全生育期不同处理间均无显著差异。2 g/L咸淡混合水喷灌对2 a夏玉米产量均无显著影响,3 g/L咸淡混合水喷灌2020年的夏玉米产量显著降低了9%。不同处理间的夏玉米穗数、穗粒数及百粒质量均无显著差异。综上所述,咸淡混合水喷灌矿化度不超过2 g/L可以保障该地区夏玉米正常生长发育及产量供应。

关键词: 夏玉米, 咸淡混合水, 喷灌, 根干质量密度, 光合特性, 产量

Abstract:

It is of great significance to study the effects of brackish water sprinkler irrigation on the growth and yield of summer maize to alleviate the shortage of fresh water resources,promote the utilization of unconventional water resources and guarantee the production of summer maize.Field trial was conducted for two consecutive years in the central plain area of the Heilonggang Basin,Hebei Province.It aimed to investigate the effects of three sprinkler irrigation treatments(fresh water,2 g/L brackish water,and 3 g/L brackish water)on root distribution,photosynthetic performance,and grain yield in summer maize.Results showed that the average dry root weight density of 0-60 cm soil layer in the whole growth period of 2 g/L brackish water sprinkler irrigation was reduced by 7%-9% than fresh water irrigation but with no significant difference,and the average root dry weight density of 3 g/L brackish water sprinkler irrigation was significantly reduced by 19%-26%.Compared with fresh water irrigation,the 2,3 g/L brackish water sprinkler irrigation both had adverse effects on the photosynthetic characteristics of leaves,especially the 3 g/L brackish water sprinkler irrigation,the net photosynthetic rate,stomatal conductance and light use efficiency were significantly reduced by 29%-37%,40%-49% and 29%-35%,respectively,which seriously affected the photosynthetic capacity of the leaves.In 2020,the leaf area index of 2 g/L brackish water sprinkler irrigation was reduced by 15% compared with that of fresh water sprinkler irrigation but with no significant difference,and the leaf area index of 3 g/L brackish water sprinkler irrigation was significantly reduced by 28%.In 2021,there was no significant difference in leaf area index between different treatments during the whole growing period.There was no significant difference in plant height between different treatments during the whole growth period of two years.2 g/L brackish water sprinkler irrigation had no significant effect on yield of summer maize in both years,and the yield of 3 g/L brackish water sprinkler irrigation was significantly reduced by 9% in 2020.No significant differences were observed in ear count,kernel number per ear,or 100-grain weight across the irrigation treatments.In summary,the salinity of brackish water sprinkler irrigation less than 2 g/L can guarantee the growth and yield of summer maize in this area.

Key words: Summer maize, Brackish and fresh mixed water, Sprinkling irrigation, Root dry weight density, Photosynthetic characteristics, Yield

中图分类号: 

引用本文

韩清, 郭子糠, 王罕博, 陈文彬, 王海叶, 顾宝群, 张大胜, 焦艳平, 王铁强. 咸淡混合水喷灌对夏玉米根系分布、光合特性及产量的调控效应[J]. 华北农学报, 2025, 40(S1): 70-77. doi: 10.7668/hbnxb.20194974.

HAN Qing, GUO Zikang, WANG Hanbo, CHEN Wenbin, WANG Haiye, GU Baoqun, ZHANG Dasheng, JIAO Yanping, WANG Tieqiang. Regulating Effects of Sprinkling Irrigation Using Brackish and Fresh Mixed Water on Root Distribution,Photosynthetic Characteristics and Yield of Summer Maize[J]. Acta Agriculturae Boreali-Sinica, 2025, 40(S1): 70-77. doi: 10.7668/hbnxb.20194974.