贵州新老两代糯高粱品种(系)产量和氮肥利用率的差异

高 杰1,李晓荣2,封广才3,李青风1,彭 秋 1

(1.贵州省旱粮研究所 贵州省农业科学院,贵州 贵阳 550006;2.楚雄彝族自治州农业科学院,云南 楚雄 675000; 3.黔东南州扶贫开发办公室,贵州 凯里 556000)

摘要:为了明确贵州新老两代糯高粱品种(系)的产量和氮肥利用率差异,以红缨子、黔高8号,红壳糯、黑壳糯为试验材料,设置2个氮肥处理(LN和HN),采用裂区试验设计,研究了其产量、氮素积累以及氮肥利用特性之间的差异。结果表明:2010s品种较1990s品系的产量、干物质和氮素积累总量平均分别增加了25.4%,25.1%,33.3%。氮素收获指数在LN处理下,品种间差异显著,HN下不显著;与LN处理相比,1990s品系的花后氮占比在HN处理下明显降低,幅度为20.9%,说明2010s品种在花后的氮素同化能力上要更强,在低氮、高氮水平下都具备更强的籽粒氮素累积能力。2010s品种较1990s品系的氮肥偏生产力、氮素表观回收率、氮肥利用率以及氮肥农学效率分别提高了13.9 kg/kg、0.7 kg/kg、20.3%和4.1 kg/kg,产量、干物质和氮素积累总量与氮肥利用率显著正相关,表明贵州糯高粱单产的增加可能是氮肥利用率的提高导致的氮积累增加所致,为糯高粱的正常生理代谢提供了充足的氮供应。

关键词:高粱;干物质积累;产量;氮肥利用率

大量研究表明,在当前生产条件下,氮肥的施用是过量的[1],受到“高投入高产出”等政策的引导和传统观念的影响,不合理甚至盲目过量施肥的现象相当普遍[2]。大量的氮肥投入,造成我国作物氮肥利用率偏低[3],当季利用率仅为30%~35%,低于发达国家近20百分点[4]。面对日益严峻的环境问题和资源危机,在保证作物单产的稳步提高的同时,如何不断创新施肥方式提高肥料利用率,是现阶段面临和亟待解决的理论与技术难题[5]

氮效率早在20世纪80年代,由Moll等[6]提出,后根据研究对象、研究目的以及研究方向的差异,提出了氮肥农学效率、氮肥表观回收效率、氮肥生理效率等指标[7-8]。作物对肥料投入的反应因作物品种、土壤条件、施肥期等因素的影响而差别很大[9-10]。关于作物品种的演变规律,国内外展开了大量的研究,主要集中在主粮作物上,对品种的形态、生产力、生理以及肥料利用等变化特征进行了基本的明确[11-13]。Carlone 和Russell[14]通过设置不同的氮素水平,对20世纪30-80年代的美国玉米杂交种进行研究表明,新品种具备更强的氮肥利用能力。殷春渊等[15]对不同年代水稻品种的溯源研究表明,早期品种对氮肥的反应更敏感。Ciampitti等[16]研究认为,现代品种在花后具备更强的氮素吸收能力,使其具有更高的干物质积累量,其籽粒中有56%的氮素来自花后吸收。

高粱用途广泛,是世界上重要的粮食作物之一[17]。由于其抗逆耐瘠的特性,往往被种植在条件较差的边际土壤上[18]。贵州高粱种植主要以山区为主,土壤成熟度不高,有机质含量较低,瘠薄田所占比例较大,同时与主粮作物相比,贵州高粱的肥料利用研究相对滞后,糯高粱的相关研究更是少之又少,为此本研究以贵州新老两代糯高粱品种(系)为材料,系统分析新老品种氮肥利用的差异,明确其氮肥利用的特性,旨在为贵州糯高粱氮肥高效利用与氮高效栽培调控提供理论依据。

1 材料和方法

1.1 供试地点与品种

试验于2017和2018年的4-9月在贵州省农业科学院旱粮试验基地进行,试验地属于亚热带湿润季风气候,土壤类型属黏土,土壤有机质含量13.90 g/kg,全氮1.32 g/kg,碱解氮356.48 mg/kg,速效磷19.97 mg/kg,速效钾236.59 mg/kg,pH值7.2。

1.2 试验设计

选用贵州新老两代最具代表性的4个常规糯高粱品种(系)(表1),采用裂区试验设计,施氮量为主区,品种为副区。氮肥处理设置LN(施N:0 kg/hm2,P2O5:75 kg/hm2,K:75 kg/hm2)和HN(施N:75 kg/hm2,P2O5:75 kg/hm2,K:75 kg/hm2),按照播种期∶拔节期=50∶50进行施用,小区行长5 m,行距60 cm,窝距为25 cm,一窝双株,6行区,小区面积为18 m2,3次重复。2017,2018年分别于4月23日和4月27日播种,9月2日和9月5日收获。其他管理措施保持一致。

表1 试验材料基本信息
Tab.1 Basic information of experimental materials

材料名称Material name品种(系)Varieties(Line)来源Origin育成时间Breeding time应用年代Age of application黑壳糯 HeiKN品系仁怀地方种 1989筛选1990s红壳糯 HongKN品系仁怀地方种 1989筛选1990s红缨子 HYZ品种贵州审定品种2008省审2010s黔高8号 QG8H品种贵州审定品种2009省审2010s

1.3 样品的采集与分析

土壤样品:于播种前采用5点取样法采集试验地0~20 cm土壤样品,对土壤背景值进行测定。

植物样品:开花期、成熟期每小区取长势一致的5株,开花期分为茎、叶、鞘、穗4部分,成熟期分为茎、叶、鞘、穗、籽粒5部分,置于105 ℃鼓风干燥箱杀青30 min,再于65 ℃烘干至恒质量。称质量后的植株各部分进行粉碎,均匀混合后过1 mm筛,装入自封袋保存待测。植株及籽粒全氮含量采用凯氏定氮法测定[13]

产量:成熟期每小区收获中间4行,考种测产(按照14%含水量折算),即标准产量(Yield)。

1.4 相关参数计算

参照张仁和、高杰、渠晖等[19-21]的方法计算干物质积累总量(Dry matter accumulation,DMA,kg/hm2)、氮素积累总量(Total nitrogen accumulation,TNA,kg/hm2)、花前氮积累总量(Nitrogen accumulationat flowering stage,NAF,kg/hm2)、花后氮素积累总量(Nitrogen accumulation of post-flowering,NAP,kg/hm2)、籽粒氮素积累总量(Grain nitrogen accumulation,GNA,kg/hm2)、氮素收获指数(Nitrogen harvest index,NHI,%)、氮素表观回收率(Nitrogen apparent recovery rate,NARR,kg/kg)、氮肥农学效率(Nitrogen fertilizer agronomic efficiency,NFAE,kg/kg)、氮肥利用率(Nitrogen recovery efficiency,NRE,%)、氮肥偏生产力(Nitrogen partial fertilizer productivity,NPFP,kg/kg)。

1.5 数据分析

数据采用Microsoft Excel 2010进行数据整理与作图,利用SPSS 19.0进行方差分析,LSD法标注显著性。

2 结果与分析

2.1 不同氮水平下贵州新老两代糯高粱品种(系)的产量、干物质变化

统计分析结果显示(表2),不同糯品种(系)的产量、干物质和氮素积累总量在品种、氮肥间均达到极显著差异,氮素积累总量在氮肥与品种的互作中也达到极显著水平。从1990s到2010s,糯高粱品种的产量、干物质和氮素积累总量增加明显。相较于1990s(黑壳糯、红壳糯)的品系,2010s(红缨子、黔高8号)品种的产量、干物质和氮素积累总量在HN处理下2 a平均分别增加了25.5%,23.4%,35.2%,LN处理下2 a平均分别增加了25.3%,26.7%,31.3%,平均分别增加25.4%,25.1%和33.3%。与LN处理相比,HN处理下1990s品系的产量、干物质和氮素积累总量分别增加了40.9%,40.9%,28.7%,2010s品种分别增加了41.2%,37.2%,32.5%。按照30 a计算,不同年代糯高粱品种(系)的产量、干物质和氮素积累总量平均每年以44.75,106.84,1.30 kg/hm2的速度增加。

表2 贵州不同年代糯高粱产量、干物质和氮素积累总量的变化

Tab.2 Changes of yield and dry matter accumulation of waxy sorghum in different ages in Guizhou Province kg/hm2

氮水平N level 品种Varieties20172018产量Yield干物质积累总量DMA氮素积累总量TNA产量Yield干物质积累总量DMA氮素积累总量TNA低氮 LN黑壳糯2 506.27±67.6b7 131.99±84.5b104.22±4.3b3 195.89±42.3b7 112.25±22.6b110.14±4.4b红壳糯2 489.78±17.9b7 371.11±48.6b106.32±4.1b3 421.45±16.6b7 499.99±43.1b115.30±3.2b平均2 498.037 251.55105.273 308.677 306.12112.72红缨子3 051.11±78.6a8 717.51±5.2a134.29±1.3a4 168.07±52.1a9 673.33±50.1a148.92±1.4a黔高8号3 106.95±41.3a8 820.37±98.6a138.89±3.0a4 225.25±46.6a9 687.86±35.2a150.50±3.1a平均3 079.038 768.94136.594 196.669 680.60149.71高氮 HN黑壳糯3 529.42±40.0b10 049.12±27.7b132.81±2.9c4 504.21±32.4b10 020.41±9.7b141.15±3.1c红壳糯3 508.33±52.0b10 386.01±24.8b135.76±2.7c4 820.99±60.8b10 565.94±15.5b151.19±3.6b平均3 518.8810 217.57134.294 662.6010 293.18146.17红缨子4 391.67±40.7a12 030.75±73.3a178.65±0.6b5 849.41±99.6a13 215.35±77.2a196.77±0.9a黔高8号4 396.84±4.4a12 158.25±94.7a184.34±2.7a5 904.27±38.1a13 231.33±78.0a198.71±1.0a平均4 394.2612 094.50181.505 876.8413 223.34197.74变异来源 Sources of varia-tion氮水平 N level(N)******************品种 Varieties(V)******************互作 N×VNSNS***NSNS***

注:同列数据后不同小写字母表示品种间差异达 5% 显著水平;***. 0.001 显著水平;**.0.01显著水平;*.0.05显著水平;NS.0.05 水平不显著。表3-4同。

Note:Values followed by different letters in a column are significantly different between varieties at the 5% level;***.Significant at the 0.001 probability level;**.Significant at the 0.01 probability level;*.Significant at the 0.05 probability level;NS.Not significant at the 0.05 probability level.The same as Tab.3-4.

2.2 不同氮水平下贵州新老两代糯高粱品种(系)氮素分配的差异

贵州新老两代糯高粱品种(系)籽粒氮积累、氮素收获指数以及花后氮素占比都存在显著的差异(表3)。籽粒氮积累在品种和氮肥间都差异显著,2010s品种较1990s品系在LN处理下增加64.1%,HN处理下增加44.2%;氮素收获指数在LN处理下,品种间差异显著,HN处理下2010s品种和1990s品系间平均值差异不大,说明2010s品种在低氮、高氮水平下都具备更强的籽粒氮素累积能力,在低氮水平下有更强的耐性。花后氮占比在品种和氮肥间都存在显著差异,其中在HN处理下,2010s品种的花后氮占比2 a平均为31.2%,1990s则为22.1%,提高9.1百分点,而在LN处理下,两代品种间没有显著差异;与LN处理相比,1990s品系的花后氮占比在HN处理下明显降低,幅度为20.9%,说明2010s品种较1990s品系在花后的氮素同化能力上要更强。

表3 贵州新老品种(系)开花前后氮积累占氮积累总量的比例
Tab.3 Ratio of pre-and post-flowering nitrogen accumulation to total N of waxy sorghum in different ages in Guizhou

氮水平N level品种Varieties20172018花前氮积累/(kg/hm2)NAF籽粒氮积累/(kg/hm2)GNA氮素收获指数NHI花后氮占比/%RNAP花前氮积累/(kg/hm2)NAF籽粒氮积累/(kg/hm2)GNA氮素收获指数NHI花后氮占比/%RNAP低氮黑壳糯73.99±1.9b53.70±3.6b0.52±0.05b28.37±4.1a79.24±3.9b59.44±3.9b0.54±0.05b27.96±4.9aLN红壳糯76.70±2.5b58.06±2.4b0.55±0.02b27.85±1.1a83.60±2.6b64.41±2.6b0.56±0.04b27.48±1.8a平均75.3455.880.5328.1181.4261.930.5527.72红缨子94.45±2.2a91.92±1.9a0.68±0.02a29.66±2.3a98.80±3.5a99.01±2.8a0.66±0.02a33.67±1.7a黔高8号96.05±2.0a95.11±1.2a0.68±0.02a30.81±2.9a101.48±4.9a100.23±3.9a0.67±0.01a32.57±2.8a平均95.2593.510.6830.23100.1499.620.6733.127高氮黑壳糯102.42±1.7b75.70±2.4b0.57±0.04b22.87±0.5b111.70±6.5b83.79±2.9b0.59±0.04a20.86±4.4bHN红壳糯105.26±3.6b81.80±2.6b0.60±0.03ab22.48±1.1b117.81±3.8b90.75±2.9b0.60±0.02a22.07±2.0b平均103.8478.750.5922.67114.7687.270.6021.46红缨子125.20±4.7a113.80±1.8a0.64±0.01a28.77±2.5a130.59±3.0a122.60±1.2a0.62±0.02a33.64±1.3a黔高8号131.29±1.7a117.76±1.3a0.64±0.01a29.92±0.9a133.90±4.2a124.09±0.8a0.62±0.03a32.60±2.7a平均128.24115.780.6429.35132.25123.350.6233.12变异来源 Sources of variation氮肥 N level(N)******NS*******NS*品种 Varieties(V)**********************互作 N×VNSNS**NSNSNS*NS

2.3 贵州新老两代糯高粱品种(系)氮效率参数的差异

随着年代的更替,贵州糯高粱的氮肥偏生产力、氮素表观回收率、氮肥利用率以及氮肥农学效率增加显著(表4)。与1990s品系相比,2010s品种的氮肥偏生产力、氮素表观回收率、氮肥利用率以及氮肥农学效率2 a平均分别提高了13.9 kg/kg、0.7 kg/kg、20.3%和4.1 kg/kg,以每10 a 1.39 kg/kg、0.7 kg/kg、2.0%和0.4 kg/kg的速度增加。

表4 贵州不同年代糯高粱氮素利用效率的差异
Tab.4 Changes of leaf area index after flowering of waxy sorghum in different ages in Guizhou Province

年度Year品种Varieties氮肥偏生产力/(kg/kg)NPFP 表观回收率/(kg/kg)NARR 氮肥利用率/%NRE氮肥农学效率/(kg/kg)NFAE 2017黑壳糯47.06±2.20b1.77±0.04c38.12±3.88b13.58±2.20b红壳糯46.78±1.64b1.81±0.04c39.26±3.57b13.64±1.64b平均46.921.7938.6913.61红缨子58.62±1.39a2.38±0.01b59.15±0.75a17.13±1.39a黔高8号58.56±1.35a2.46±0.04a60.60±3.59a17.94±1.35a平均58.592.4259.8717.542018黑壳糯60.06±1.54b1.88±0.04c41.34±4.12b17.44±1.54b红壳糯64.28±1.95b2.02±0.05b47.85±4.77b18.66±1.95b平均62.171.9544.6018.05红缨子77.99±3.85a2.62±0.01a63.79±1.25a21.66±3.85ab黔高8号78.72±4.04a2.65±0.04a64.28±3.63a23.15±4.04a平均78.362.6464.0422.40

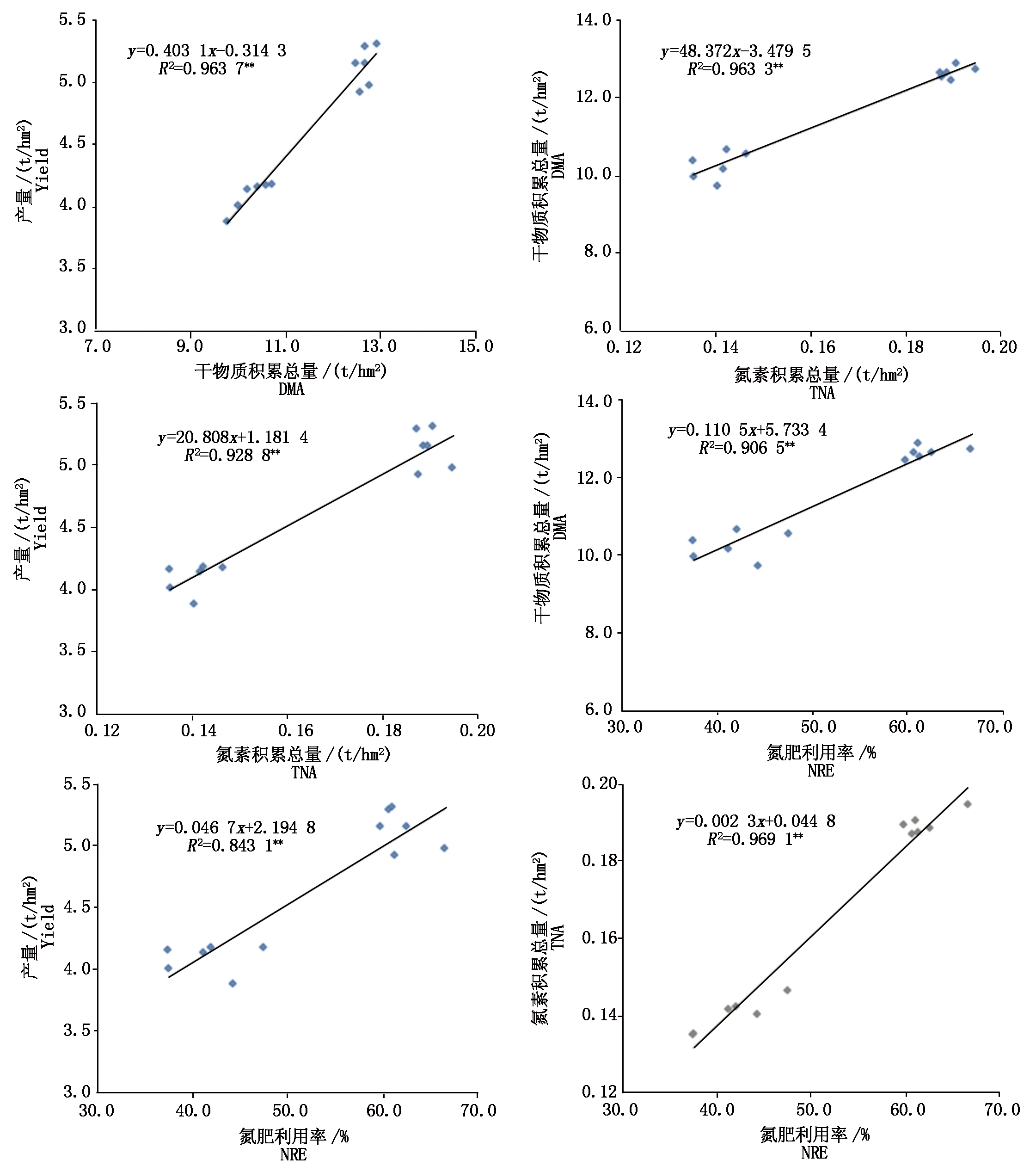
2.4 贵州糯高粱品种(系)产量、干物质与氮素积累量、氮肥利用率之间的关系

将HN处理下的糯高粱产量、干物质积累总量、氮素积累总量以及氮肥利用率进行线性相关分析(图1),结果表明,产量与干物质、氮素积累总量呈显著的正相关(r=0.963 7、r=0.928 8),干物质积累总量与氮素积累总量显著正相关(r=0.963 3),产量、干物质和氮素积累总量与氮肥利用率显著正相关(r=0.843 1、r=0.906 5、r=0.969 1)。

图1 糯高粱产量、干物质和氮素积累总量、氮肥利用率之间的关系
Fig.1 Relationship among yield,DMA,TNA,and NRE

3 讨论结论

产量的遗传增益分析可以明确作物的产量潜力,为品种改良提供参考[22-23]。李嵩博等[24]对我国1977-2016年期间国家和省级审定的324个高粱品种进行溯源分析表明,40年来我国高粱单产稳步提升,平均每年增加51.8 kg/hm2。作为世界最大的高粱生产国美国,Assefa等[25]分析了历年美国的高粱杂交种的产量增益,以每年将近50 kg/hm2的速度增加,同时还指出高粱单产提高与品种耐旱性密切相关。本研究表明,应用于贵州2010s的糯高粱品种产量比1990s品系平均增加了25.4%,按照30 a计算,平均每年以44.75 kg/hm2的速度增加。

20世纪70年代以来,全世界氮肥用量的增长是粮食生产增加的7倍[5],同时谷类作物的氮素利用率平均仅为33%[26]。大量的氮素投入给环境造成了极大的压力[3],如何提高作物的肥料利用率,已然成为作物学科研究的重点[3,27]。前人的研究表明,作物产量提高主要得益于品种的抗逆改良和资源利用效率的提高[28]。Tollenaar[29]对不同年代加拿大的玉米品种做比较表明,现代品种比老品种具有更强的养分吸收能力。Echarte等[30]则指出,现代玉米品种的氮肥偏生产力在不同氮肥施用量下都较高。本研究表明,贵州糯高粱的氮肥偏生产力、氮肥利用率以及氮肥农学效率随品种更替增加显著,表明2010s品种在单位供氮条件下具备更强的物质生产与积累能力。早在1982年,Moll等[6]就提出在高氮水平下,氮效率差异主要以氮肥吸收效率差异为主,而在低氮素水平下,以氮肥利用效率差异为主。结果显示,2010s品种较1990s品系氮肥利用率提高了20.3%,设计氮素水平为75 kg/hm2,属于低氮素水平,与上述结果一致。

作物产量形成的物质基础是干物质的积累[31-32],本研究显示贵州糯高粱的产量与干物质积累总量显著正相关,产量、干物质积累总量与氮素积累总量显著正相关,表明贵州糯高粱氮素的积累为其干物质的生产提供了基础,进一步促进了单产的增加。产量、干物质积累总量、氮素积累总量与氮肥利用率显著正相关,表明贵州糯高粱品种单产的提高可能与其氮肥利用率的提高相关,高氮肥利用能力使植物积累更多的氮素,保证了其生理代谢对氮素的需求,从而促进了产量的提高。

综上所述,贵州糯高粱产量随年代增加可能与新品种的氮肥利用效率逐步提升促使的氮积累增加相关,保证了其生理代谢的氮供应,从而促成了单产的增加。

参考文献:

[1] 王媛,王劲松,董二伟,武爱莲,焦晓燕. 长期施用不同剂量氮肥对高粱产量、氮素利用特性和土壤硝态氮含量的影响[J].作物学报,2021,47(2):342-350.doi:10.3724/SP.J.1006.2021.04091.

Wang Y,Wang J S,Dong E W,Wu A L,Jiao X Y. Effects of long-term nitrogen fertilization with different levels on Sorghum grain yield,nitrogen use characteristics and soil nitrate distribution[J].Acta Agronomica Sinica,2021,47(2):342-350.

[2] 郭巧苓. 中国主要粮食作物过量施肥程度及其影响因素分析[D].南昌:江西财经大学,2019.

Guo Q L. Evaluation of over fertilization and its influencing factors about major grain crops in China[D].Nanchang:Jiangxi University of Finance and Economics,2019.

[3] 张福锁,王激清,张卫峰,崔振岭,马文奇,陈新平,江荣风. 中国主要粮食作物肥料利用率现状与提高途径[J].土壤学报,2008,45(5):915-924. doi:10.3321/j.issn:0564-3929.2008.05.018.

Zhang F S,Wang J Q,Zhang W F,Cui Z L,Ma W Q,Chen X P,Jiang R F. Nutrient use efficiencies of major cereal crops in China and measures for improvement[J].Acta Pedologica Sinica,2008,45(5):915-924.

[4] 曹晓燕,武爱莲,王劲松,董二伟,焦晓燕. 施氮量对高粱产量、品质及氮利用效率的影响[J].作物杂志,2021(2):108-115. doi:10.16035/j.issn.1001-7283.2021.02.015.

Cao X Y,Wu A L,Wang J S,Dong E W,Jiao X Y. Effects of nitrogen fertilization on yield,quality and nitrogen utilization efficiency of Sorghum[J].Crops,2021(2):108-115.

[5] Hirel B,Le Gouis J,Ney B,Gallais A. The challenge of improving nitrogen use efficiency in crop plants:Towards a more central role for genetic variability and quantitative genetics within integrated approaches[J].Journal of Experimental Botany,2007,58(9):2369-2387. doi:10.1093/jxb/erm097.

[6] Moll R H,Kamprath E J,Jackson W A. Analysis and interpretation of factors which contribute to efficiency of nitrogen utilization 1[J].Agronomy Journal,1982,74(3):562-564. doi:10.2134/agronj1982.00021962007400030037x.

[7] Craswell E T,Godwin D C. The efficiency of nitrogen fertilizers applied to cereals in different climates [J].Advances in Plant Nutrition,1984,1:1-55.

[8] Gaju O,Allard V,Martre P,Le Gouis J,Moreau D,Bogard M,Hubbart S,Foulkes M J. Nitrogen partitioning and remobilization in relation to leaf senescence,grain yield and grain nitrogen concentration in wheat cultivars[J].Field Crops Research,2014,155:213-223. doi:10.1016/j.fcr.2013.09.003.

[9] 高杰,李青风,汪灿,张国兵,彭秋. 不同氮素水平对糯高粱物质生产及氮素利用特性的影响[J].作物杂志,2017(6):126-130. doi:10.16035/j.issn.1001-7283.2017.06.021.

Gao J,Li Q F,Wang C,Zhang G B,Peng Q. Effects of differrent nitrogen level on material production and nitrogen use characteristics in glutinous Sorghum[J].Crops,2017(6):126-130.

[10] 马军,徐田,叶迎,赵考诚,林奕呈,沙琳贤,朱涛,庄恒扬. 土壤类型与施氮水平耦合对水稻产量及氮素利用率的影响[J].生态学杂志,2021,40(6):1677-1686. doi:10.13292/j.1000-4890.202106.032.

Ma J,Xu T,Ye Y,Zhao K C,Lin Y C,Sha L X,Zhu T,Zhuang H Y. Effects of coupling of soil type and nitrogen application level on rice yield and nitrogen use efficiency[J].Chinese Journal of Ecology,2021,40(6):1677-1686.

[11] 陈欢,陈阜,乔玉强,郑成岩,邓艾兴,曹承富,张卫建. 黄淮区不同年代冬小麦主栽品种根系性状及氮素利用率的差异[J].麦类作物学报,2019,39(6):692-701.doi:10.7606/i.issn.1009-1041.2019.06.09.

Chen H,Chen F,Qiao Y Q,Zheng C Y,Deng A X,Cao C F,Zhang W J. Difference of root traits and nitrogen use efficiency among wheat cultivars released since 1950s in Huanghuai area[J].Journal of Triticeae Crops,2019,39(6):692-701.

[12] 崔菁菁,徐克章,武志海,陈展宇,张治安,吴春胜. 不同年代水稻品种叶片氮含量变化及其与净光合速率的关系[J].西北农林科技大学学报(自然科学版),2016,44(7):70-77,86. doi:10.13207/j.cnki.jnwafu.2016.07.011.

Cui J J,Xu K Z,Wu Z H,Chen Z Y,Zhang Z A,Wu C S. Changes of nitrogen content in leaf and its correlation with net photosynthetic rate of rice cultivars in different years[J].Journal of Northwest A & F University (Natural Science Edition),2016,44(7):70-77,86.

[13] 刘梅,吴广俊,路笃旭,徐振和,董树亭,张吉旺,赵斌,李耕,刘鹏. 不同年代玉米品种氮素利用效率与其根系特征的关系[J].植物营养与肥料学报,2017,23(1):71-82.doi:10.11674/zwyf.16158.

Liu M,Wu G J,Lu D X,Xu Z H,Dong S T,Zhang J W,Zhao B,Li G,Liu P. Improvement of nitrogen use efficiency and the relationship with root system characters of maize cultivars in different years[J].Journal of Plant Nutrition and Fertilizers,2017,23(1):71-82.

[14] Carlone M R,Russell W A. Response to plant densities and nitrogen levels for four maize cultivars from different eras of breeding 1[J].Crop Science,1987,27(3):465-470.doi:10.2135/cropsci1987.0011183x002700030008x.

[15] 殷春渊,张庆,魏海燕,张洪程,戴其根,霍中洋,许轲,马群,杭杰,张胜飞.氮肥水平对不同育种时代粳稻产量、氮素吸收利用差异的影响[J].华北农学报,2009,24(5):123-129.doi:10.7668/hbnxb.2009.05.026.

Yin C Y,Zhang Q,Wei H Y,Zhang H C,Dai Q G,Huo Z Y,Xu K,Ma Q,Hang J,Zhang S F. Effect of N fertilizer levels on the differences of yield,N uptake and utilization in Japonica rice with different breeding time[J].Acta Agriculturae Boreali-Sinica,2009,24(5):123-129.

[16] Ciampitti I A,Murrell S T,Camberato J J,Tuinstra M,Xia Y B,Friedemann P,Vyn T J. Physiological dynamics of maize nitrogen uptake and partitioning in response to plant density and N stress factors:I. vegetative phase[J].Crop Science,2013,53(5):2105-2119. doi:10.2135/cropsci2013.01.0040.

[17] Wang J,Sun B G,Cao R T. Correction to:bioactive factors and processing technology for cereal foods[M]//Bioactive Factors and Processing Technology for Cereal Foods.Singapore:Springer Singapore,2019.doi:10.1007/978-981-13-6167-8.

[18] 董二伟,王成,丁玉川,王劲松,武爱莲,王立革,焦晓燕. 高粱生长及其土壤环境对不同培肥措施的响应[J].华北农学报,2017,32(2):217-225.doi:10.7668/hbnxb.2017.02.032.

Dong E W,Wang C,Ding Y C,Wang J S,Wu A L,Wang L G,Jiao X Y. Response of different fertilizing on growth and soil environment of Sorghum[J].Acta Agriculturae Boreali-Sinica,2017,32(2):217-225.

[19] 张仁和,王博新,杨永红,杨晓军,马向峰,张兴华,郝引川,薛吉全. 陕西灌区高产春玉米物质生产与氮素积累特性[J].中国农业科学,2017,50(12):2238-2246.doi:10.3864/j.issn.0578-1752.2017.12.005.

Zhang R H,Wang B X,Yang Y H,Yang X J,Ma X F,Zhang X H,Hao Y C,Xue J Q. Characteristics of dry matter and nitrogen accumulation for high-yielding maize production under irrigated conditions of Shaanxi[J].Scientia Agricultura Sinica,2017,50(12):2238-2246.

[20] 高杰,封广才,李晓荣,李青风,汪灿,张国兵,周棱波,彭秋. 施氮量对酒用糯高粱品种红缨子产量及氮素吸收利用的影响[J].作物杂志,2021(4):118-122.doi:10.16035/j.issn.1001-7283.2021.04.018.

Gao J,Feng G C,Li X R,Li Q F,Wang C,Zhang G B,Zhou L B,Peng Q. Effects of nitrogen fertilizer on yield and nitrogen use characteristics in waxy Sorghum cultivar Hongyingzi[J].Crops,2021(4):118-122.

[21] 渠晖,陈俊峰,程亮,陆晓燕,沈益新. 施氮水平对甜高粱硝酸盐含量和氮素利用特性的影响[J].草业学报,2016,25(7):168-176.doi:10.11686/cyxb2015411.

Qu H,Chen J F,Cheng L,Lu X Y,Shen Y X. Effects of nitrogen fertilizer on nitrate accumulation and nitrogen use characteristics in sweet Sorghum[J].Acta Prataculturae Sinica,2016,25(7):168-176.

[22] Tollenaar M,Lee E. Physiological dissection of grain yield in maize by examining genetic improvement and heterosis[J].Maydica,2006,51(2):399.

[23] Wang T,Ma X L,Li Y,Bai D P,Liu C,Liu Z Z,Tan X J,Shi Y S,Song Y C,Carlone M,Bubeck D,Bhardwaj H,Jones E,Wright K,Smith S. Changes in yield and yield components of single-cross maize hybrids released in China between 1964 and 2001[J].Crop Science,2011,51(2):512-525.doi:10.2135/cropsci2010.06.0383.

[24] 李嵩博,唐朝臣,陈峰,谢光辉. 中国粒用高粱改良品种的产量和品质性状时空变化[J].中国农业科学,2018,51(2):246-256.doi:10.3864/j.issn.0578-1752.2018.02.005.

Li S B,Tang C C,Chen F,Xie G H. Temporal and spatial changes in yield and quality with grain Sorghum variety improvement in China[J].Scientia Agricultura Sinica,2018,51(2):246-256.

[25] Assefa Y,Staggenborg S A. Grain Sorghum yield with hybrid advancement and changes in agronomic practices from 1957 through 2008[J].Agronomy Journal,2010,102(2):703-706.doi:10.2134/agronj2009.0314.

[26] Raun W R,Johnson G V. Improving nitrogen use efficiency for cereal production[J].Agronomy Journal,1999,91(3):357-363.doi:10.2134/agronj1999.00021962009100030001x.

[27] O′Neill P M,Shanahan J F,Schepers J S,Caldwell B. Agronomic responses of corn hybrids from different eras to deficit and adequate levels of water and nitrogen[J].Agronomy Journal,2004,96(6):1660-1667.doi:10.2134/agronj2004.1660.

[28] Cunha Fernandes J S,Franzon J F. Thirty years of geneticprogress in maize(Zea mays L.)in a tropical environment[J].Maydica,1997,42:21-27.doi:10.1017/S0014479797000215.

[29] Tollenaar M. Genetic improvement in grain yield of commercial maize hybrids grown in Ontario from 1959 to 1988[J].Crop Science,1989,29(6):1365-1371.doi:10.2135/cropsci1989.0011183x002900060007x.

[30] Echarte L,Rothstein S,Tollenaar M. The response of leaf photosynthesis and dry matter accumulation to nitrogen supply in an older and a newer maize hybrid[J].Crop Science,2008,48(2):656-665.doi:10.2135/cropsci2007.06.0366.

[31] 王旭敏,雒文鹤,刘朋召,张琦,王瑞,李军. 节水减氮对夏玉米干物质和氮素积累转运及产量的调控效应[J].中国农业科学,2021,54(15):3183-3197.doi:10.3864/j.issn.0578-1752.2021.15.004.

Wang X M,Luo W H,Liu P Z,Zhang Q,Wang R,Li J. Regulation effects of water saving and nitrogen reduction on dry matter and nitrogen accumulation,transportation and yield of summer maize[J].Scientia Agricultura Sinica,2021,54(15):3183-3197.

[32] 张金汕,贾永红,孙鹏,刘冲,王欢,罗四维,石书兵. 匀播和施氮量对冬小麦群体、光合及干物质积累的影响[J].中国农业大学学报,2021,26(7):12-24.doi:10.11841/j.issn.1007-4333.2021.07.02.

Zhang J S,Jia Y H,Sun P,Liu C,Wang H,Luo S W,Shi S B. Effect of uniform pattern and N application rate on colony,photosynthesis and dry matter accumulation of winter wheat[J].Journal of China Agricultural University,2021,26(7):12-24.

Difference of Grain Yield and Nitrogen Recovery Efficiency Between New and Old Waxy Sorghum Cultivars(Lines)in Guizhou Province

GAO Jie1,LI Xiaorong2,FENG Guangcai3,LI Qingfeng1,PENG Qiu1

(1.Guizhou Institute of Upland Crops,Guizhou Academy of Agricultural Science,Guiyang 550006,China;2.Chuxiong Autonomous Prefecture Academy of Agricultural Science,Chuxiong 675000,China;3.Poverty Alleviation and Development Office of Qiandongnan Prefecture,Kaili 556000,China)

Abstract In order to clarify the difference of yield and nitrogen use efficiency between new and old generations of waxy sorghum varieties(lines)in Guizhou,the sorghum cultivars of HYZ,QG8H,HongKN and HeiKN were used as experimental materials,two nitrogen treatments(LN and HN)were set up.The differenceof yield,nitrogen accumulation and nitrogen use characteristics of which were analyzed by split plot design. The results showed that:the yield,dry matter and nitrogen accumulation of 2010s cultivars(HYZ and QG8H)were significantly increased by 25.4%,25.1% and 33.3%,respectively,compared with those of 1990s cultivars(HeiKN and HongKN). NHI under LN treatment was significantly different among cultivars,but not under HN treatment. Compared with LN,RNAP of 1990s cultivars decreased significantly under HN treatment,with a range of 20.9%,which indicated that the 2010s cultivar had a stronger post-flowering N assimilation capacity,and a stronger grain N accumulation capacity at both low and high N levels.NPFP,NARR,NRE and NFAE of 2010s cultivars were increased by 13.9 kg/kg,0.7 kg/kg,20.3% and 4.1 kg/kg,respectively,compared with the 1990s cultivars. Yield,DMA,TNA were significantly positively correlated with NRE,which indicated that the increased yield of waxy sorghum in Guizhou Province might relate to the increase of nitrogen accumulation caused by the improvement of NRE,which provided sufficient nitrogen supply for the normal physiological metabolism of waxy sorghum.

Key words Sorghum bicolor;Dry matter accumulation;Yield;Nitrogen recovery efficiency

收稿日期:2021-06-16

基金项目:贵州省科技支撑计划(黔科合支撑[2020]1Y053号;[2020]1Y122号);财政部和农业农村部国家现代农业产业体系(CARS-06-14.5-B26)

作者简介:高 杰(1989-),男,内蒙古包头人,助理研究员,硕士,主要从事作物遗传改良与栽培生理调控研究。

通讯作者:彭 秋(1965-),女,贵州瓮安人,研究员,主要从事高粱种质资源评价与遗传育种研究。

中图分类号:S141.3;S514.01

文献标识码:A

文章编号:1000-7091(2021)增刊-0275-07

doi10.7668/hbnxb.20192424