不同覆盖处理对土壤酶活性和土壤养分的影响

刘长源1,焦凤丽1,洪圣哲1,孙池涛1,张明明1,张 凯2,李全起1

(1.山东农业大学 水利土木工程学院,山东 泰安 271018;2.山东省农业环境保护和农村能源总站,山东 济南 250100)

摘要:为了探索华北平原生物可降解地膜对土壤酶活性和土壤肥力的影响,以及为寻求更加环保的替代方式,解决地膜覆盖带来的“白色污染”问题。设置普通PE地膜覆盖(PM)、生物可降解地膜覆盖(BM)、秸秆覆盖(SM)3种不同覆盖处理,以裸地不覆盖(CK)作为对照,研究不同覆盖处理对春玉米农田土壤酶活性和土壤养分含量的影响。试验结果表明:3种不同覆盖处理对于土壤过氧化氢酶和脲酶活性的影响在春玉米生育期内变化趋势大致相同,呈现先减小后增大再减小趋势,而土壤纤维素酶活性在生育期内先减小后增大。在春玉米收获期,2种不同覆膜处理均能提高上述3种酶活性,秸秆覆盖只对土壤过氧化氢酶、脲酶活性有提高作用。其中,对于土壤脲酶活性各个覆盖处理的提升效果明显,在0~10 cm和10~20 cm土层分别较CK处理提高了58.73%,33.65%,83.84%和26.19%,50.98%,61.21%。与CK相比,各个覆盖处理都提高了表层0~10 cm土层内的土壤有机碳、碱解氮、速效钾含量,且以秸秆覆盖效果最优,分别显著提高了24.68%,11.10%,23.34%,而2个覆膜处理之间无显著性差异;对于土壤有效磷含量,各个覆盖处理没有显著的提高作用。综上所述,在华北平原地区覆盖生物可降解地膜对于上述3种土壤酶活性和土壤养分含量的影响与覆盖普通PE地膜的效果相似。因此,生物可降解地膜代替普通PE地膜覆盖到农田当中解决“白色污染”问题具有良好的应用前景。

关键词:生物可降解地膜;秸秆覆盖;土壤酶活性;土壤有机碳;土壤养分

覆盖栽培技术是在农田上覆盖一层覆盖物以改变土壤水分、热量及养分等达到促进作物生长目的的一项农艺措施,该技术历史悠久,根据史书记载古人们通常将砂石、树叶、谷草等作为覆盖物覆盖在农田上。到20世纪50年代,塑料工业开始兴起,日本首次将塑料薄膜应用在农田上,相继许多国家也开始应用和研究,我国于1978年引进塑料薄膜并开始试验和应用。众多试验研究表明,地膜覆盖具有增产作用且能够提高作物水分利用效率[1-3]。虽然传统塑料地膜具有很好的增产效果,但是同时带来许多问题。普通塑料地膜的拉伸负荷较低,在回收过程中极易破碎,导致地膜残留在农田土壤中,由于其理化性质稳定,残膜在土壤中很难被分解,邹小阳等[4]研究指出残膜会阻滞土壤水分的水平运动,而且随残膜量的增加土壤平均含水率和累积入渗量会不断降低,不利于土壤水分的保持。为解决残膜问题,科研人员在塑料薄膜制造过程中加入可降解的母料以达到可降解的效果,研制出各种新型可降解地膜,例如生物可降解地膜、光降解地膜、光-生物降解地膜、氧化降解膜等。丁宗江等[5]发现在玉米生育前期可降解地膜的土壤含水率与普通PE地膜差异不显著,保墒作用相近,到生育后期随着可降解地膜的降解,保水效果减弱。生物可降解地膜作为新型农用地膜,亦能够达到保温保墒的作用,提高作物产量[6-7]

秸秆覆盖作为传统覆盖方式之一,既能够解决秸秆残留问题,还能够起到改善土壤微环境的作用。研究表明,秸秆覆盖能够增加土壤水分,减少表层土壤温度日变化幅度,为作物生长发育提供良好的土壤水热条件[8]。白永会等[8]研究发现,秸秆覆盖能够促进土壤入渗,增加农田地表的粗糙度,减少坡面径流,能够起到良好的水土保持效果,而且秸秆覆盖能够有效减少径流养分的流失。Wang等[9]研究发现,秸秆覆盖能够降低土壤总累积蒸发量,使日平均蒸发量与不覆盖相比减少25%~41%。

土壤酶作为土壤生物化学过程中的重要组成部分,在土壤碳、氮、磷、硫生物循环过程中起着重要作用,能够客观地反映土壤肥力和土壤养分条件[10]。土壤酶活性主要与土壤水热状况、土壤类型、施肥情况、耕作方式等有关[11]。覆盖改变了土壤水热条件,土壤酶活性必将受到影响,土壤养分也得到改善。Ma等[12]研究指出,地膜覆盖提高了土壤温度和水分,进而使得农田土壤中重组分有机碳(HFOC)的积累增加。针对秸秆覆盖有研究指出,与不覆盖处理相比,秸秆覆盖的土壤有机碳含量(SOC)可显著提高15.5%,并且秸秆覆盖对质地细密的土壤有机碳提升最大,为39.5%,而对粗纹理和中纹理土壤的SOC影响不大,仅提高11.4%,10.3%[13]。近年来,对覆膜与未覆膜之间、不同秸秆还田方式之间的酶活性变化研究已有试验研究报道,然而结合作物生育期不同覆盖材料的酶活性和土壤养分的研究很少报道。因此,本研究进行了不同覆盖材料的试验,分析对比不同覆盖措施对几种土壤酶活性的影响,结合土壤养分指标,探索生物可降解膜对土壤环境的影响,为合理应用生物可降解膜提供理论支持。

1 材料和方法

1.1 试验地概况

试验于2019年春玉米生育期在山东农业大学农学实验站(36°10′19″N,117°09′03″E)进行。该地区属温带大陆性半湿润季风性气候,四季分明,光热同步,雨热同季。全年日照时数 2 621.7 h,年际变化在2 342.3~3 413.5 h。年平均气温12.9 ℃,7月份最高(平均26.4 ℃),1月份最低(平均-2.6 ℃)。全年≥0 ℃的平均积温4 731 ℃,≤10 ℃的平均积温4 213 ℃,无霜期平均 195 d。试验地土质为壤质黏土,土壤容重为 1.3 g/cm3,田间持水量为32.4%(体积含水量)。

1.2 试验设计

试验供试作物为春玉米,品种为郑单958。试验地长45 m,宽15 m,试验设置4个处理:分别为普通PE地膜覆盖(PM)、生物可降解地膜覆盖(BM)、秸秆覆盖(SM)和裸地(CK),每个处理重复3次,共计12个小区。本试验采用随机区组设计,其中1、2、3小区覆0.008 mm的普通PE地膜,4、5、6小区覆盖0.006 mm的1803PSX 生物可降解地膜,试验所用地膜均由山东清田塑工有限公司生产,7、8、9小区覆盖玉米秸秆,覆盖量为7 500 kg/hm2[14],10、11、12小区为裸地对照,各个覆盖材料于播种当天覆盖,普通PE地膜和秸秆覆盖处理在春玉米全生育期内全程覆盖,生物可降解地膜待降解后不再继续覆盖直到降解结束。春玉米于 2019年4月28日播种,2019年9月3日收获。各个处理的播种密度均为 76 000株/hm2,其中播种行距为60 cm,株距为21.5 cm。播前使用撒可富复合肥(N∶P∶K比例为15∶15∶15)720 kg/hm2。生育期内未进行追肥及灌溉,其他人工管理同普通高产田。

1.3 测定项目与方法

本试验于2019年春玉米苗期(4月28日)、拔节期(5月28日)、开花期(7月8日)、灌浆期(8月3日)、收获期(9月3日)取土样,各个生育时期取样一次,分0~10 cm和10~20 cm 2个土层取样,取回后放置于室温条件下自然风干。土样风干后过0.245 mm筛,分别测定5个时期的土壤过氧化氢酶、脲酶、纤维素酶活性,测定收获期的土壤有机碳和土壤养分含量。

土壤过氧化氢酶、脲酶、纤维素酶活性使用北京索莱宝科技有限公司生产的土壤酶活性检测试剂盒测定,主要实验仪器有分光光度计、台式离心机、水浴锅等。土壤有机碳含量采用水合热重铬酸钾氧化-比色法测定,土壤有效磷含量采用碳酸氢钠浸提-钼锑抗比色法测定,土壤碱解氮含量采用碱解扩散法测定,土壤速效钾含量采用醋酸铵浸提-火焰光度法测定。

1.4 数据处理

试验数据采用Microsoft Excel 2016和IBM SPSS Statistics 24进行数据处理和统计分析,采用Origin 2017进行绘图,采用LSD法进行显著性检验。

2 结果与分析

2.1 土壤过氧化氢酶活性

春玉米生育期内土壤过氧化氢酶活性在0~10 cm和10~20 cm 2个土层内变化大致相同,各个处理均表现为先下降后上升再下降,开花期达到最大值(图1)。在苗期,SM处理0~10 cm和10~20 cm 2个土层内过氧化氢酶活性分别比PM处理显著提高了10.59%,12.15%,分别比BM处理提高了11.09%,8.92%。由拔节期到开花期,土壤过氧化氢酶活性增长幅度表现为SM>BM>PM>CK。开花期10~20 cm土层内,SM处理较CK显著增加了12.36%。在春玉米生育后期,过氧化氢酶活性逐渐下降。在收获期,在0~10 cm土层,BM处理的活性比CK显著提高了15.26%;在10~20 cm土层,PM和BM处理分别比CK显著提高了15.75%,21.23%。因此,PM和BM处理都能提高土壤过氧化氢酶活性,且以BM处理的效果最为显著。

PM.普通PE.地膜覆盖处理;BM.生物可降解地膜覆盖处理;SM.秸秆覆盖处理;CK.裸地处理;误差线表示±标准差(n=3),
不同字母表示收获期的同一土层的各个处理间显著差异(P<0.05)。图2-3同。
PM.Common PE.Mulching treatment;BM.Biodegradable plastic mulching treatment;SM.Straw mulching treatment;CK.Bare land treatment;Bars are±standard errors of
means(n=3),different letters indicate significant differences between treatments in the same soil layer at harvest time(P<0.05). The same as Fig.2-3.

图1 不同覆盖处理对土壤过氧化氢酶活性的影响
Fig.1 Effects of different mulching treatments on soil catalase activity

2.2 土壤脲酶活性

在整个生育期内,不同覆盖处理下土壤脲酶活性变化相同,呈现先减小后增大再减小的变化趋势,其中灌浆期的土壤脲酶活性最高(图2)。在苗期,10~20 cm土层内,BM处理较CK显著提高了29.81%。拔节期,各处理的脲酶活性差异不显著。在开花期0~10 cm土层,SM均显著高于其他3种处理,较PM、BM、CK高出46.44%,37.94%,59.07%,PM和BM 2种覆膜处理之间无显著性差异。在灌浆期,0~10 cm土层内,PM、BM和SM处理的土壤脲酶活性分别比CK显著提高了54.64%,56.30%,71.46%,而在10~20 cm土层内则分别显著提高了71.93%,88.90%,61.75%。在春玉米收获期,3种不同覆盖处理均对土壤脲酶活性有提高作用,在0~10 cm土层,PM、BM、SM分别较CK高出58.73%,33.65%,83.84%;10~20 cm土层,3种不同覆盖处理较CK提高了26.19%,50.98%,61.21%,在0~20 cm土层范围内来看,SM提高脲酶活性的效果最佳。因此,土壤脲酶活性表现为秸秆覆盖处理>生物可降解膜覆盖处理>普通PE地膜处理>裸地处理,说明3种不同覆盖处理均能够促进尿素的水解,改善土壤的氮素状况。

图2 不同覆盖处理对土壤脲酶活性的影响
Fig.2 Effects of different mulching treatments on soil urease activity

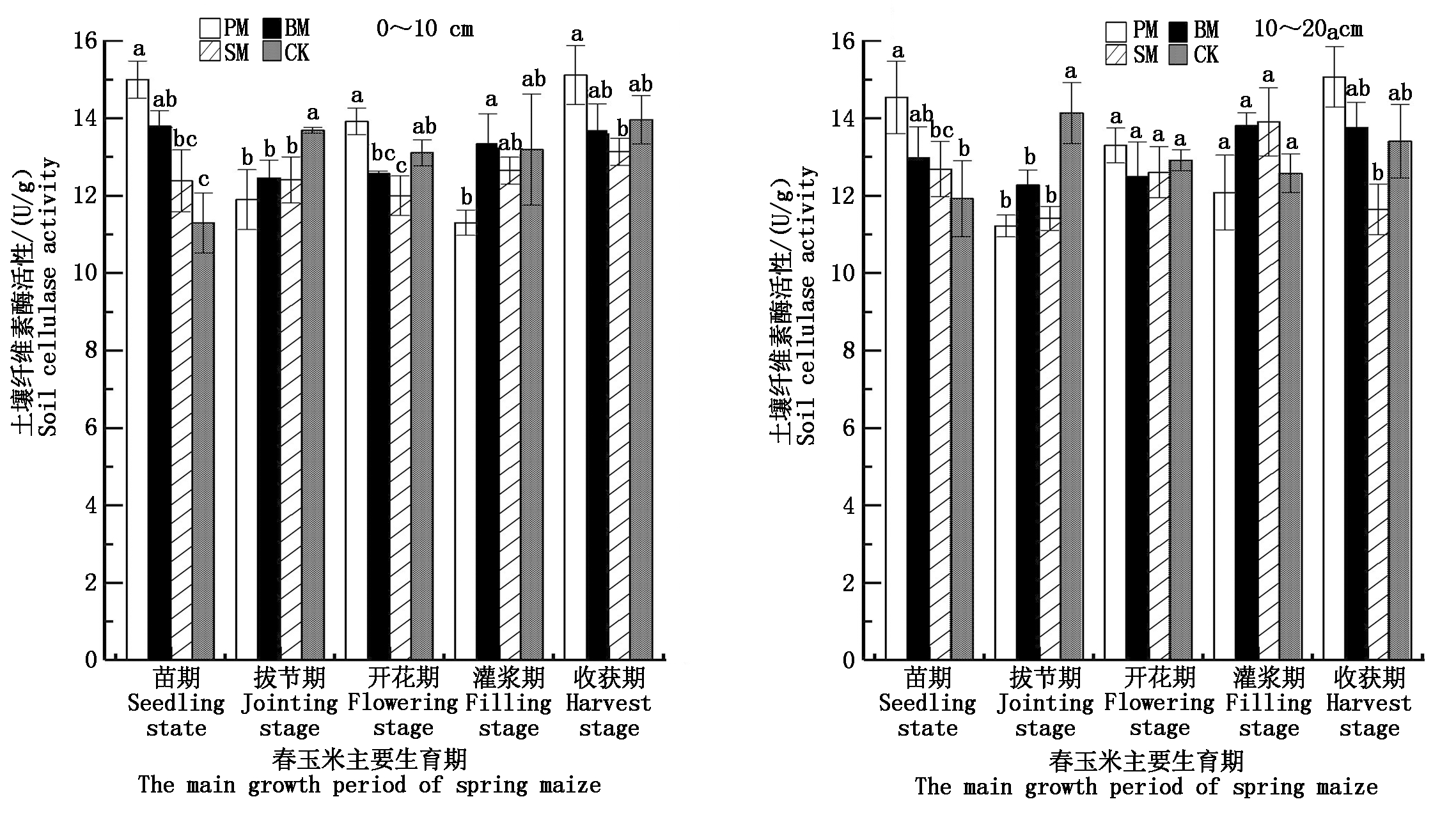
2.3 土壤纤维素酶活性

土壤纤维素酶来源于土壤微生物,能够催化碳水化合物的分解。在春玉米生长过程中,不同覆盖处理下的土壤纤维素酶活性变化大致相同,具体表现为先减小后增大,PM和BM处理的纤维素酶活性均在收获期达到最大值,而SM处理则在春玉米灌浆期时达到最大值(图3)。在苗期,0~10 cm土层内,PM和BM处理纤维素酶活性较CK分别显著提高32.79%,22.18%,而在10~20 cm土层,只有PM处理比CK显著提高了21.95%。在拔节期,0~10 cm土层内,PM、BM和SM处理分别比CK显著降低了13.07%,8.99%,9.35%,而在10~20 cm土层内,PM、BM和SM处理分别比CK降低了20.66%,13.18%,19.27%。开花期各个处理之间土壤纤维素酶活性差异不显著,PM在2个土层内较CK处理分别提高了6.14%,2.94%,BM、SM处理的土壤纤维素酶活性与CK相比略微降低。灌浆期,PM处理的土壤纤维素酶活性低于其他3种处理,但在收获期,2个土层内,其活性则分别提高了33.73%,24.72%;在灌浆期和收获期,BM处理的活性没有显著变化。因此,4种处理之间土壤纤维素酶活性在苗期和拔节期差异较显著,说明春玉米生长前期覆膜对土壤纤维素酶活性的影响较大。

图3 不同覆盖处理对土壤纤维素酶活性的影响
Fig.3 Effects of different mulching treatments on soil cellulase activity

2.4 土壤养分

不同覆盖处理对春玉米收获期土壤养分影响状况如表1所示。SM处理的土壤有机碳含量在2个土层内均高于其他3种处理。0~10 cm土层内,SM处理比CK显著提高24.68%,PM和BM处理比CK增加了2.58%,13.71%;10~20 cm土层内,各处理有机碳含量没有显著性差异。对于土壤有效磷含量,0~10 cm和10~20 cm土层内,各处理无显著性差异。对于土壤碱解氮含量,0~10 cm土层内,SM处理比CK显著提高了11.10%,而在10~20 cm土层内各个处理间无显著性差异。与CK相比,3种不同覆盖处理提高了土壤速效钾含量,SM处理在0~10 cm土层内比CK显著增加了23.34%,较PM显著增加了16.30%,而2种不同覆膜处理间无显著性差异。

表1 春玉米收获期不同覆盖处理对土壤有机碳和土壤养分含量的影响
Tab.1 Effects of different mulching treatments on soil organic carbon and soil nutrient content in spring maize harvest

土壤养分含量Soil nutrient content土层/cmSoil layersPMBMSMCK有机碳/(g/kg)0~105.02±0.22b5.56±0.22ab6.11±0.25a4.90±0.11bSOC10~205.52±0.19a5.37±0.21a5.87±0.31a5.07±0.38a有效磷/(mg/kg)0~1042.03±4.33a43.35±3.97a42.43±3.11a43.83±3.66aAP10~2035.30±4.27a32.60±4.12a29.96±3.87a34.67±4.79a碱解氮/(mg/kg)0~1082.81±3.08ab82.81±3.08ab87.17±3.77a78.46±0.00bAN10~2076.27±4.99a80.64±3.77a80.64±3.08a74.10±7.55a速效钾/(mg/kg)0~10122.67±7.68b134.50±4.44ab142.67±4.11a115.67±6.22bAK10~2097.67±9.12a93.67±8.56a96.00±6.22a88.67±7.11a

注:不同字母表示收获期的同一土层的各个处理间显著差异(P<0.05)。

Note:Different letters indicate significant differences between treatments in the same soil layer at harvest time(P<0.05).

3 讨论与结论

3.1 不同覆盖处理的土壤酶活性变化及影响因素

本试验发现覆膜条件均能够提高3种土壤酶的活性,秸秆覆盖对于土壤脲酶、纤维素酶活性具有提高作用。土壤酶的活性大小在一定程度上反映了土壤肥力,可作为衡量土壤环境和质量的重要指标[10]。土壤脲酶在土壤氮循环过程中起着重要作用,能够水解土壤中的尿素,水解后的NH4+能够为作物提供生长发育必不可少的氮素[11]。研究表明,普通PE地膜、生物可降解地膜和秸秆覆盖均能够提高土壤脲酶活性,且秸秆覆盖处理效果明显[15-16],这与本试验结果基本一致。前人研究发现,脲酶活性高低受土壤理化性质影响较大,白雪等[11]研究指出,土壤脲酶活性与土壤含水量呈显著正相关,而秸秆覆盖的保水性优于其他2个覆盖处理[17-18],从而显著提高脲酶活性。土壤过氧化氢酶作为微生物代谢的重要酶类,在H2O2清除系统中具有重要作用,能够减轻过氧化氢对土壤的毒害作用[10]。以往研究发现,土壤水分会影响过氧化氢酶活性,土壤水分增加会提高其还原性,导致过氧化氢酶活性降低,反之土壤水分减少会减弱其还原性,进而提高了过氧化氢酶活性[19]。由于BM处理的土壤含水量低于PM和SM处理[20],因此,在收获期BM处理的过氧化氢酶活性高于其他2种覆盖处理。

3.2 不同覆盖处理的土壤养分影响因素

试验研究表明,与裸地处理相比,普通PE地膜和生物可降解地膜不同程度增加了土壤有机碳和碱解氮含量,秸秆覆盖只提高了有机碳含量。土壤养分作为衡量土壤肥力的重要指标,对作物的生长发育有着重要影响。研究发现,土壤干湿交替会促进土壤有机质矿化分解,使得土壤有机质含量降低,地膜覆盖和秸秆覆盖可以减少土壤温湿度变化幅度,因此3种不同覆盖处理均能够提高土壤有机碳含量。而且,秸秆覆盖在土壤表面,随着秸秆分解,不断向土壤中提供碳源,因此,SM处理下的有机碳含量均高于其他3个处理。对于土壤氮、磷、钾养分含量,秸秆覆盖都有不同程度的提高,这与卜玉山等[21]的研究结果相似。宋秋华等[22]研究发现,地膜覆盖可以提高土壤氮磷钾含量,这与本试验研究结果一致。

不同覆盖处理对于土壤过氧化氢酶和脲酶活性的影响在春玉米生育期内变化趋势大致相同,呈现先减小后增大再减小趋势,土壤纤维素酶活性在生育期内先减小后增大。

在春玉米收获期,覆膜处理均能提高3种酶活性,秸秆覆盖只对土壤过氧化氢酶、脲酶活性有提高作用。在0~10 cm和10~20 cm土层,BM处理的过氧化氢酶活性分别比CK显著提高了15.26%,21.23%;土壤脲酶活性BM在2个不同土层内分别较CK高出33.65%,50.98%;BM对于土壤纤维素酶活性的影响与CK无显著性差异。

与CK相比,各个覆盖处理都提高了土壤有机碳、碱解氮、速效钾含量,且以秸秆覆盖效果最优,分别显著提高了24.68%,11.10%,23.34%,2个覆膜处理之间无显著性差异。

综上所述,生物可降解地膜与普通PE地膜对于土壤酶和土壤养分影响效果相似。因此,生物可降解地膜可在未来代替普通PE地膜应用到农田中解决“白色污染”问题。

参考文献:

[1] Li Q,Li H B,Zhang L,Zhang S Q,Chen Y L. Mulching improves yield and water-use efficiency of potato cropping in China:A meta-analysis[J].Field Crops Research,2018,221:50-60. doi:10.1016/j.fcr.2018.02.017.

[2] Gao H H,Yan C R,Liu Q,Li Z,Yang X,Qi R M. Exploring optimal soil mulching to enhance yield and water use efficiency in maize cropping in China:A meta-analysis[J].Agricultural Water Management,2019,225:105741. doi:10.1016/j.agwat.2019.105741.

[3] Niu L,Yan Y Y,Hou P,Bai W B,Zhao R L,Wang Y H,Li S K,Du T S,Zhao M,Song J Q,Zhou W B. Influence of plastic film mulching and planting density on yield,leaf anatomy,and root characteristics of maize on the Loess Plateau[J].The Crop Journal,2020,8(4):548-564. doi:10.1016/j.cj.2019.12.002.

[4] 邹小阳,牛文全,刘晶晶,许健,张明智,李元. 残膜对土壤水分水平运动的阻滞作用[J].水土保持学报,2016,30(3):96-102,108. doi:10.13870/j.cnki.stbcxb.2016.03.018.

Zou X Y,Niu W Q,Liu J J,Xu J,Zhang M Z,Li Y. Ability of retarding water horizontal movement for residual plastic film mixed in soil[J].Journal of Soil and Water Conservation,2016,30(3):96-102,108.

[5] 丁宗江,李仙岳,郭宇,冷旭,王美荣. 干旱沙区降解膜覆盖的玉米生长与耗水规律[J].排灌机械工程学报,2018,36(11):1092-1097. doi:10.3969/j.issn.1674-8530.18.1202.

Ding Z J,Li X Y,Guo Y,Leng X,Wang M R. Growth and water consumption of maize under degradable mulch in arid sandy area[J].Journal of Drainage and Irrigation Machinery Engineering,2018,36(11):1092-1097.

[6] Wang Z H,Wu Q,Fan B H,Zhang J Z,Li W H,Zheng X R,Lin H,Guo L. Testing biodegradable films as alternatives to plastic films in enhancing cotton(Gossypium hirsutum L.)yield under mulched drip irrigation[J].Soil and Tillage Research,2019,192:196-205. doi:10.1016/j.still.2019.05.004.

[7] 阎晓光,李洪,董红芬,李爱军,王国梁,杜艳伟. 可降解地膜覆盖对土壤水热及春玉米产量的影响[J].中国农学通报,2018,34(33):32-37.

Yan X G,Li H,Dong H F,Li A J,Wang G L,Du Y W.EEffect of degradable film on soil moisture and temperature and yield of spring corn[J].Chinese Agricultural Science Bulletin,2018,34(33):32-37.

[8] 白永会,查轩,查瑞波,张婧,戴金梅,王丽园,刘川,范章怀. 秸秆覆盖红壤径流养分流失效益及径流剪切力影响研究[J].水土保持学报,2017,31(6):94-99. doi:10.13870/j.cnki.stbcxb.2017.06.016.

Bai Y H,Zha X,Zha R B,Zhang J,Dai J M,Wang L Y,Liu C,Fan Z H. Effects of straw mulching on soil erosion benefits and runoff shear force under simulated rainfall[J].Journal of Soil and Water Conservation,2017,31(6):94-99.

[9] Wang J D,Zhang Y Q,Gong S H,Xu D,Juan S,Zhao Y F. Evapotranspiration,crop coefficient and yield for drip-irrigated winter wheat with straw mulching in North China Plain[J].Field Crops Research,2018,217:218-228. doi:10.1016/j.fcr.2017.05.010.

[10] 蔡丽君,张敬涛,盖志佳,刘婧琦,张伟,赵桂范,郑海燕,王庆胜,龚振平,马春梅. 免耕条件下秸秆还田量对土壤酶活性的影响[J].土壤通报,2015,46(5):1127-1132.

Cai L J,Zhang J T,Gai Z J,Liu J Q,Zhang W,Zhao G F,Zheng H Y,Wang Q S,Gong Z P,Ma C M. Effect of the amount of stalk return to field on soil enzyme activities under no-tillage[J].Chinese Journal of Soil Science,2015,46(5):1127-1132.

[11] 白雪,周怀平,解文艳,杨振兴,程曼,杜艳玲. 不同类型地膜覆盖对玉米农田土壤酶活性的影响[J].农业资源与环境学报,2018,35(4):381-388. doi:10.13254/j.jare.2018.0033.

Bai X,Zhou H P,Xie W Y,Yang Z X,Cheng M,Du Y L. Effects of different plastic film mulching on soil enzyme activity in maize farmland[J].Journal of Agricultural Resources and Environment,2018,35(4):381-388.

[12] Ma Q J,Zhang Q,Niu J B,Li X G. Plastic-film mulch cropping increases mineral-associated organic carbon accumulation in maize cropped soils as revealed by natural 13C/12C ratio signature[J].Geoderma,2020,370:114350. doi:10.1016/j.geoderma.2020.114350.

[13] Jian J S,Du X,Reiter M S,Stewart R D. A meta-analysis of global cropland soil carbon changes due to cover cropping[J].Soil Biology and Biochemistry,2020,143:107735. doi:10.1016/j.soilbio.2020.107735.

[14] 肖继兵,杨久廷,辛宗绪. 辽西地区秸秆覆盖试验研究[J].节水灌溉,2008(2):8-10,13.

Xiao J B,Yang J T,Xin Z X. An experimental study of straw stalk cover in Liaoxi area[J].Water Saving Irrigation,2008(2):8-10,13.

[15] 孔雪静. 地膜覆盖和秸秆还田对玉米地与土壤氮素转化相关的土壤酶活性影响研究[D].兰州:兰州大学,2016.

Kong X J. Effects of plastic film mulch and straw incorporation on soil nitrogen-transformation-related enzymes in maize-cropped farmlands[D].Lanzhou:Lanzhou University,2016.

[16] 刘玮斌,田文博,陈龙,刘亚亮,于寒,谷岩. 不同秸秆还田方式对土壤酶活性和玉米产量的影响[J].中国土壤与肥料,2019(5):25-29. doi:10.11838/sfsc.1673-6257.18482.

Liu W B,Tian W B,Chen L,Liu Y L,Yu H,Gu Y. Effects of different straw returning methods on soil enzyme activity and maize yield[J].Soils and Fertilizers Sciences in China,2019(5):25-29.

[17] 温晓霞, 殷瑞敬, 高茂盛, 艾绥龙.不同覆盖模式下旱作苹果园土壤酶活性和微生物数量时空动态研究[J].西北农业学报,2011,20(11):82-88. doi:10.7606/j.issn.1004-1389.2011.11.017.

Wen X X,Yin R J,Gao M S,Ai S L. Spatiotemporal dynamics of soil enzyme activities and microbes in apple orchard soil under different mulching managements[J].Acta Agriculturae Boreali-occidentalis Sinica,2011,20(11):82-88.

[18] 申丽霞,王璞,张丽丽.可降解地膜对土壤、温度水分及玉米生长发育的影响[J].农业工程学报,2011,27(6):25-30.doi:10.3969/j.issn.1002-6819.2011.06.005.

Shen L X,Wang P,Zhang L L. Effects of degradable film on soil temperature,moisture and growth of maize[J].Transactions of the Chinese Society of Agricultural Engineering,2011,27(6):25-30.

[19] 史建国,刘景辉,史君卿,孙玉清,贾利欣,融晓萍. 地膜再利用对向日葵田土壤过氧化氢酶活性的影响[J].内蒙古农业大学学报(自然科学版),2015,36(5):17-20.doi:10.16853/j.cnki.1009-3575.2015.05.004.

Shi J G,Liu J H,Shi J Q,Sun Y Q,Jia L X,Rong X P.Effects of reused plastic film mulching on soil catalase activity[J].Journal of Inner Mongolia Agricultural University(Natural Edition),2015,36(5):17-20.

[20] 李仙岳,彭遵原,史海滨,闫建文,王志超. 不同类型地膜覆盖对土壤水热与葵花生长的影响[J].农业机械学报,2015,46(2):97-103.doi:10.6041/j.issn.1000-1298.2015.02.015.

Li X Y,Peng Z Y,Shi H B,Yan J W,Wang Z C. Effects of different degradable films mulching on soil water potential,temperature and sunflower growth[J].Transactions of the Chinese Society for Agricultural Machinery,2015,46(2):97-103.

[21] 卜玉山,苗果园,周乃健,邵海林,王建程. 地膜和秸秆覆盖土壤肥力效应分析与比较[J].中国农业科学,2006,39(5):1069-1075.doi:10.3321/j.issn:0578-1752.2006.05.031.

Bu Y S,Miao G Y,Zhou N J,Shao H L,Wang J C. Analysis and comparison of the effects of plastic film mulching and straw mulching on soil fertility [J].Scientia Agricultura Sinica,2006,39(5):1069-1075.

[22] 宋秋华,李凤民,王俊,刘洪升,李世清. 覆膜对春小麦农田微生物数量和土壤养分的影响[J].生态学报,2002,22(12):2125-2132. doi:10.3321/j.issn:1000-0933.2002.12.016.

Song Q H,Li F M,Wang J,Liu H S,Li S Q. Effect of various mulching durations with plastic film on soil microbial quantity and plant nutrients of spring wheat field in semi-arid loess plateau of China[J].Acta Ecologica Sinica,2002,22(12):2125-2132.

Effects of Different Mulch Treatments on Soil Enzyme Activities and Soil Nutrients

LIU Changyuan1,JIAO Fengli1,HONG Shengzhe1,SUN Chitao1,ZHANG Mingming1,ZHANG Kai2,LI Quanqi1

(1.College of Water Conservancy and Civil Engineering,Shandong Agricultural University,Taian 271018,China;2.Shandong Agricultural Environmental Protection and Rural Energy Station,Jinan 250100,China)

Abstract In order to explore the effects of biodegradable mulching film on soil enzyme activities and soil fertility in the North China Plain,and to seek more environmentally friendly alternatives,to solve "white pollution" problem of plastic film mulching,this test set common PE plastic mulching(PM),biodegradable(BM)of plastic film mulching,straw mulching(SM)3 different mulching treatments,with bare not covered(CK)as contrast,study covering different processing of spring corn farmland soil enzyme activity and soil nutrient content.The results showed that the effects of three different mulching treatments on the activities of soil catalase and urease in the growth period of spring maize had roughly the same trend,showing a trend of decreasing first,then increasing and then decreasing,while the activities of soil cellulase first decreased and then increased in the growth period of spring maize.At the harvest stage of spring maize,the activities of the above three enzymes could be increased by two different plastic film mulching treatments,but only the activities of soil catalase and urease could be increased by straw mulching.Among them,each mulching treatment had an obvious improvement effect on soil urease activity,which increased by 58.73%,33.65%,83.84% and 26.19%,50.98%,61.21% compared with CK treatment in the 0-10 cm and 10-20 cm soil layers,respectively.Compared with CK,all mulching treatments increased the contents of soil organic carbon,alkali-hydrolyzed nitrogen and available potassium in the 0-10 cm soil layer,and straw mulching had the best effect,which significantly increased by 24.68%,11.10% and 23.34%,respectively,while there was no significant difference between the two mulching treatments.Mulching treatments had no significant effect on soil available P content.In conclusion,the effects of biodegradable mulching on the above three soil enzyme activities and soil nutrient contents were similar to those of ordinary PE mulching in the North China Plain.Therefore,biodegradable mulching film instead of ordinary PE mulching film in farmland to solve the problem of "white pollution" has a good application prospect.

Key words Biodegradable plastic film;Straw mulching;Soil enzyme activity;Soil organic carbon;Soil nutrients

收稿日期:2021-09-21

基金项目:国家重点研发计划项目(2016YFB0302402);农业农村部生物降解地膜环境安全影响评价项目(13200237)

作者简介:刘长源(1996-),男,山东济南人,在读硕士,主要从事水利工程研究。

通讯作者:李全起(1976-),男,山东昌乐人,教授,博士,博士生导师,主要从事农业水土工程研究。

中图分类号:S274;S513.01

文献标识码:A

文章编号:1000-7091(2021)增刊-0246-07

doi10.7668/hbnxb.20191742