免耕半固态直播对水稻剑叶生理特性的影响

李静怡1,2,3,王 忍1,2,3,孟祥杰1,2,3,梁玉刚1,2,3,龚向胜1,2,3,黄 璜1,2,3,魏海林4

(1.湖南农业大学 农学院,湖南 长沙 410128;2.南方粮油作物协同创新中心,湖南 长沙 410128;3.农业农村部华中地区作物栽培科学观测试验站,湖南 长沙 410128;4.湖南省林业科学院;湖南 长沙 410004)

摘要:为探究免耕半固态播种模式对水稻剑叶生理及光合特性的影响。通过设计翻耕半固态直播(FZ)、免耕半固态直播(MZ)、水稻插秧(YZ)和传统撒直播(CK)的田间对比试验,研究了不同栽培模式下水稻剑叶生理和光合特性的特征。与CK处理相比,2016年早稻中早39、湘早籼45号FZ、MZ处理的剑叶SPAD值在乳熟期-成熟期显著高于CK处理,2017中早39的FZ、MZ、YZ处理较CK处理早稻与晚稻增幅分别为0.85%~15.41%,1.60%~13.04%,且在齐穗+28 d和齐穗+35 d均达到显著性差异。FZ、MZ和YZ较CK处理水稻剑叶POD和SOD活性在齐穗后均呈增加趋势,而MDA呈降低趋势,其中中早39各时期MDA含量的均值平均降幅分别为13.35%,9.35%,12.49%,9.43%,9.53%和7.12%,湘早籼45降幅分别为10.22%,7.75%,10.01%,6.72%,8.44%和6.01%。FZ、MZ和YZ处理水稻剑叶可溶性糖含量在齐穗+14 d-齐穗+35 d均显著高于CK。2017年晚稻,2个品种的FZ、MZ、YZ处理的蒸腾速率在齐穗+25 d显著高于CK,净光合速率在抽穗期和抽穗后10 d均显著高于CK,分别高出10.56%,11.13%,10.29%和12.40%,14.46%,15.65%。水稻半固态直播和插秧的种植方式能够提高剑叶SPAD值和叶绿素含量,进而有利于提高剑叶光合能力,为水稻齐穗后干物质和有机物质等的积累奠定基础,进而利于水稻产量的提高。

关键词:水稻;半固态直播;剑叶;保护酶活性;光合特性

当前,我国稻作生产中仍存在人工插秧、抛秧等水稻栽培方式,尤其是南方丘陵地区更为常见,水稻人工移栽工作密集且集中,劳动强度大,加之人工作业效率低,已成为制约稻作生产发展的主要因素[1]。农户为省工、省时、节本及提高生产效率,传统撒直播逐步应用于稻作生产中,但传统人工撒播存在播种子不均匀、出苗易受高低温影响、草害重、根系浅、后期易倒伏、群体透风透光差等问题,易导致水稻出现严重减产[2]。为解决人工移栽和传统撒直播存在的问题,水稻机械直播的种植方式以其节省秧田、播种方便、操作简单、生产效率高、成本低等特点已应用于大规模稻作生产[3]。已有研究表明,水稻机械直播较移栽和撒直播均有增产效应,主要得益于机械直播可将种子以适宜的株行距播种在稻田里,缩短了水稻生育期、利于根系深扎和较早分蘖、植株群体通风透光增强、光合产物累积速度快、干物质积累多,从而使得水稻成穗率高及产量形成[4-6],而保持水稻稳产与增产对国家粮食安全、社会稳定和经济发展具有重要意义[7]。水稻产量的形成与植株绿色叶片和茎秆光合产物的积累密切相关,尤其剑叶作为水稻功能叶中最为重要的叶片,其光合作用所提供的碳水化合物占到水稻籽粒的50%以上,一定程度决定籽粒灌浆的成败[8],而剑叶一旦提早衰老将引起叶绿素降解及光合作用下降,导致籽粒充实度不高、结实率及穗质量降低,限制水稻产量潜力发挥[9]。因此,稻作生产中延缓剑叶的衰老,有利于延长水稻籽粒灌浆的时间,利于水稻产量的提高[10]

水稻免耕半固态播种作为一种全新的节水节肥栽培方式,可将破胸稻种、适量肥料、谷壳和稀泥等以一定比例均匀混合,运用自主研发的农机,将混合物保持一定株距播种在前期不放水的免耕稻田里。已有研究表明,水稻免耕半固态播种较常规撒直播能够提高出苗率及秧苗对养分的吸收,利于前期旺苗和壮苗的形成[11-12],利于水稻根系生长和齐穗前后干物质量的积累,为水稻产量的形成奠定基础[13],但有关免耕半固态播种对剑叶生理特性的相关研究却没有报道。为此,本研究通过开展免耕半固态直播、翻耕半固态直播、水稻插秧和传统撒直播的田间对比试验,调查水稻剑叶SPAD值、叶绿素a和b含量、保护酶活性、可溶性有机物质含量、光合特性等相关指标,分析免耕半固态播种下水稻剑叶生理特性的变化规律,从而为水稻免耕半固态播种应用于生产提供一定理论科学依据。

1 材料和方法

1.1 试验概况

试验于2016-2017年3-11月在湖南省浏阳市北盛镇乌龙社区科研基地进行(113°25′26″E,28°17′13.8″N),该地区属亚热带季风湿润气候,年平均气温16~18 ℃,≥10 ℃的有效积温5 000~5 500 ℃,无霜期260~320 d,年降水量1 200~1 500 mm。试验地土壤类型为红黄泥土;试验前土壤基本理化性状如下:有机质33.51 g/kg,全氮1.52 g/kg,全磷0.94 g/kg,全钾12.68 g/kg,速效氮130.12 mg/kg,有效磷30.78 mg/kg,速效钾134.71 mg/kg;前茬作物为水稻。

1.2 试验材料

供试材料选取当地大面积种植且早晚兼用的水稻品种中早39和湘早籼45号,均由湖南农丰种业有限公司提供。供试肥料:商品有机肥(长沙飞宇生物肥业有限公司),有机质≥45%,N+P2O5+K2O≥6%;复合肥(江西正邦生物化工有限公司),N∶P2O5∶K2O=15∶15∶15,总养分含量≥45%,尿素∶总氮≥46.4%,粒径0.85~2.80 mm。

1.3 试验设计

试验采取随机区组设计,设免耕半固态直播(MZ)、翻耕半固态直播(FZ)、人工移栽(YZ)和翻耕传统撒直播(CK)共4个处理,3次重复,小区面积60 m2(10 m×6 m),共计12个小区。早稻和晚稻播种前,FZ、YZ和CK处理均于翻耕前2 d灌水泡田,随后采用旋耕机旋耕稻田,旋耕后整平稻田。各小区均用田泥砌成宽约0.40 m,高约0.35 m的田埂并进行覆膜,同时为减少灌溉用水、肥料侧向渗透对试验的干扰,各小区之间采用隔渗处理,即小区四周用防渗膜和塑料板作为隔渗材料,埋入田间约 45 cm 深,并且各小区设有单独灌排水系统。

2016年MZ、FZ和CK处理的早稻于4月1日播种,YZ于4月29日移栽;7月12日收获。晚稻于7月15日直播,7月25日移栽,10月31日收获。2017年早稻于3月31日直播,4月26日移栽,7月13日收获;晚稻于7月16日直播,7月23日移栽,11月1日收获。MZ和FZ处理采用人工模拟半固态播种机播种,每小区采用稀泥基质(含水量约60%)45 kg,加入有机肥4.5 kg,并加入破胸稻种0.40 kg,搅拌均匀,播种株行距20 cm×15 cm;CK处理采用传统人工撒直播,播种量为90.05 kg/hm2,YZ处理采用人工插秧,每穴插4株,株行距0.20 m×0.15 m,CK和YZ处理各小区均于水稻种植后均匀撒施有机肥4.5 kg。水稻直播和移栽后,将切碎的秸秆均匀铺盖在田面上,厚度约2 cm。4个处理早晚稻均在水稻插秧10 d追施尿素155 kg/hm2,分蘖盛期追施复合肥料600 kg/hm2,早稻和晚稻整个生育期内,肥料总用量均为纯N 150 kg/hm2,P2O5 90 kg/hm2和K2O 90 kg/hm2。4个处理的水分管理除分蘖始期前有差别外,其余时期均保持一致。其余田间日常管理、病虫及杂草防治与当地高产栽培一致。

1.4 测定项目与方法

1.4.1 剑叶叶片SPAD值 2016年于水稻分蘖盛期(测量倒二叶)、孕穗期、抽穗期、乳熟期、成熟期采用SPAD-502测定水稻主茎剑叶上、中、下部位,取3次平均值即为剑叶SPAD值,每次测10叶,各小区重复3次。2017年于齐穗期开始选取剑叶每隔7 d测量1次,直至齐穗期35 d共6次,测量方法与2016 年相同。

1.4.2 叶绿素a和b含量 从齐穗初期开始,每小区随机取 5 株主茎剑叶叶片放入冰盒中,随后带回实验室进行叶绿素a和b含量测定。每隔7 d 取样1次,测定方法采用乙醇浸提法[14]

1.4.3 剑叶生理生化指标 早稻和晚稻均于齐穗后选取 3 株主茎水稻叶片,放入冰盒中带回实验室进行超氧化物歧化酶、过氧化物酶和丙二醛测定,间隔7 d取样1次,每个处理重复3次。同时2017年晚稻叶片也用于叶片可溶性糖和可溶性蛋白含量测定。采用双组分光光度计法测定可溶性糖量[15];考马斯亮蓝 G-520 法测定可溶性蛋白(Soluble protein)含量;丙二醛(Malonaldehyde,MDA)含量采用硫代巴比妥酸提取法;超氧化物歧化酶(Superoxide dismutase,SOD)活性采用氮蓝四唑光化还原法;过氧化物酶 (Peroxidase,POD)活性采用愈创木酚法测定[16]

1.4.4 剑叶光合特性 晚稻齐穗期、齐穗后10 d、齐穗后25 d,选择晴天9:00-11:30,根据各小区叶片SPAD值选择具有代表性植株3株,挂牌后,采用LI-6400XT(Li-Cor,Lincoln,NE,USA)光合仪测定水稻植株叶片中部的净光合速率(Pn)、气孔导度(Gs)、胞间CO2浓度(Ci)和蒸腾速率(Tr)。

1.5 数据处理

使用SPSS 22.0软件进行差异分析,采用最小显著差法(LSD)进行显著性检验。

2 结果与分析

2.1 免耕半固态直播对水稻主要生育期剑叶SPAD值的影响

由表1可知,随着水稻的生长发育,各处理水稻叶片SPAD值均呈先增加再降低的变化趋势,均在抽穗期达到最高,在成熟期降至最低点,具体表现为抽穗期>孕穗期>分蘖盛期>乳熟期>成熟期。2016年2个品种早、晚稻各处理的剑叶SPAD值在分蘖盛期和孕穗期无显著差异;2016年早稻,中早39在抽穗期-成熟期FZ、MZ、YZ处理的剑叶SPAD值显著高于CK处理,湘早籼45号在乳熟期-成熟期FZ、MZ处理的剑叶SPAD值与显著高于CK处理;2016年晚稻各生育期均以CK处理的剑叶SPAD值最低。由此可见,不同栽培模式间水稻在生长的过程叶绿素含量总体均呈现先增后降的趋势,在抽穗期后叶绿素含量开始大幅降低,光合能力减弱,不同栽培模式对水稻前期叶片SPAD值影响不大,但抽穗期开始就呈现不同影响效果,其中CK 处理抽穗后SPAD值均要低于其他处理,而FZ、MZ与YZ处理之间除晚稻湘早籼45号成熟期FZ处理与YZ处理差异显著外其他时期均无显著性差异,说明水稻半固态直播和插秧的栽培方式能够提高抽穗后水稻剑叶SPAD值,使得水稻剑叶在抽穗后具有较强的生理活性,相比传统撒播更利于减缓抽穗后叶片的衰老。

表1 免耕半固态直播对水稻主要生育期剑叶SPAD值的影响(2016年)
Tab.1 Effect of no tillage semi solid direct seeding on SPAD value of flag leaf in main growth period of rice(2016)

品种Cultivar处理Treatment分蘖盛期Active tillering stage孕穗期Booting stage抽穗期Heading stage乳熟期Milky stage成熟期Maturity stage2016年早稻 Early rice 2016中早39FZ40.22±1.39a41.75±1.40a44.55±0.88a38.35±1.21a29.87±0.84aZhongzao 39MZ39.02±1.24a41.95±0.87a45.35±0.85a38.57±1.08a29.20±1.83aYZ39.14±0.80a42.50±0.98a45.95±1.55a38.47±0.62a27.88±0.96aCK40.08±0.36a40.97±1.13a42.18±1.18b35.53±1.03b25.01±0.42b湘早籼45号FZ38.42±1.09a43.33±0.92a44.62±0.92a36.33±1.23a27.25±1.37aXiangzaoxian 45MZ38.64±0.46a43.93±1.32a43.64±1.32a35.43±0.66a26.81±1.28aYZ38.69±0.89a43.34±1.86a43.99±1.86a35.49±0.94a25.37±0.88abCK37.67±0.50a41.66±0.61a42.62±0.61a32.02±1.39b23.43±1.24b2016年晚稻 Late rice 2016中早39FZ41.56±0.71a45.41±0.94a46.42±1.06a34.92±1.42ab25.33±0.89aZhongzao 39MZ42.53±1.15a44.22±1.24a45.49±0.55a34.89±1.75ab24.20±0.94aYZ42.29±1.90a44.86±1.18a46.10±0.85a36.33±1.39a24.91±4.11aCK40.95±0.39a43.68±0.55a45.38±0.53a33.28±1.05b22.42±1.91a湘早籼45号FZ40.57±0.73a43.33±1.20a44.33±0.84ab34.48±1.17a23.40±0.79bcXiangzaoxian 45MZ40.74±1.81a43.28±1.20a44.49±1.59ab34.40±1.83a23.93±0.96abYZ40.82±1.65a43.88±1.62a45.34±0.60a34.80±1.67a24.97±0.91aCK39.57±0.69a41.65±0.63a42.85±0.41b32.10±0.92a22.36±0.61c

注:数据后不同小写字母表示在P<0.05水平差异显著。表2-3同。

Note:Numbers followed by the different small letters were significantly different at 0.05,respectively.The same as Tab.2-3.

2.2 免耕半固态直播对水稻齐穗后剑叶SPAD值的影响

由表2可知,早稻和晚稻2个品种的FZ、MZ、YZ处理剑叶SPAD值从齐穗期-齐穗+35 d的均值均要高于CK处理。其中中早39的FZ、MZ、YZ处理较CK处理早稻与晚稻增幅分别为0.85%~15.41%,1.60%~13.04%,并且FZ、MZ、YZ较CK处理在齐穗+28 d和齐穗+35 d均达到显著性差异(P<0.05);湘早籼45号的FZ、MZ、YZ处理较CK处理早稻和晚稻增幅分别为1.60%~12.37%,1.98%~11.08%,并且晚稻中FZ处理齐穗后剑叶SPAD值显著高于CK,MZ和YZ处理在齐穗+7 d和齐穗+28 d-齐穗+35 d均显著高于CK。可见,水稻半固态直播和插秧的种植方式较CK处理能够显著提高齐穗后水稻剑叶SPAD值,使得水稻剑叶在齐穗后具有较强的生理活性,从“源”向“库”输送更多的养分,更利于籽粒灌浆提高充实度。

表2 不同栽培方式对水稻齐穗后剑叶SPAD值的影响(2017年)
Tab.2 Effects of different cultivation methods on SPAD value of flag leaf after full panicle of rice(2017)

品种Cultivar处理Treatment齐穗期HD齐穗+7 dHD+7齐穗+14 dHD+14齐穗+21 dHD+21齐穗+28 dHD+28齐穗+35 dHD+352017年早稻 Early rice 2017中早39FZ42.07±1.45a43.80±0.95ab41.93±1.70a36.60±0.66a33.80±0.61a29.43±0.75aZhongzao 39MZ41.60±1.14a45.57±0.60a41.50±1.32a38.23±1.76a34.27±1.84a28.73±0.59aYZ42.27±1.94a45.27±1.72ab42.40±1.42a37.00±1.51a34.97±1.30a28.83±1.46aCK39.90±0.92a43.43±0.70b40.53±0.87a33.77±0.61b30.30±1.05b25.40±0.66b湘早籼45号FZ40.53±2.83a42.30±1.82a39.33±0.60a35.27±1.47ab32.03±1.24a28.03±1.33abXiangzaoxian 45MZ40.63±1.21a43.03±0.61a39.27±0.81a36.67±0.75a31.90±1.48ab28.37±0.85aYZ39.93±1.64a42.10±1.56a40.10±2.19a36.63±1.50a33.07±1.63a29.80±0.70aCK39.30±0.66a41.20±0.78a37.87±0.31a33.77±1.40b29.43±0.93b26.20±0.92b2017年晚稻 Late rice 2017中早39FZ45.47±1.96a43.27±0.47a40.30±2.36a37.20±1.21a33.20±0.61a29.93±0.74aZhongzao 39MZ44.53±1.27a43.33±1.31a40.43±1.72a37.47±0.70a32.07±2.15a31.00±1.51aYZ44.50±2.03a43.30±1.45a40.70±2.29a36.33±1.91ab32.53±1.26a30.70±1.47aCK43.80±2.74a41.53±1.46a38.67±0.55a34.57±0.40b29.37±1.01b27.73±0.67b湘早籼45号FZ45.17±1.80a42.10±1.64a40.67±1.50a36.27±0.60a34.80±1.42a28.93±1.17aXiangzaoxian 45MZ43.70±0.92ab42.20±0.30a40.30±0.82ab36.97±1.22a34.60±0.79a28.43±1.22aYZ43.27±1.29ab42.57±1.96a40.93±1.46a36.63±1.39a34.00±0.36a29.13±1.21aCK42.43±0.99b39.20±0.56b38.20±0.89b33.57±0.99b31.33±0.45b26.53±0.65b

2.3 免耕半固态播种对水稻剑叶叶绿素a和b含量的影响

由表3可知,2017年晚稻的中早39和湘早籼45号各处理下剑叶叶绿素a和叶绿素b含量在齐穗期-齐穗+35 d均呈现下降的趋势,其中FZ、MZ、YZ处理的中早39剑叶叶绿素a含量在齐穗期-齐穗+35 d较CK处理增幅达到4.57%~10.42%,且在齐穗+14 d和齐穗+28 d达到显著性差异(P<0.05),叶绿素b含量的增幅为2.70%~6.45%,但无显著性差异;FZ、MZ、YZ处理的湘早籼45号剑叶叶绿素a含量在齐穗期-齐穗+35 d较CK处理增幅为3.17%~10.76%,且在齐穗7 d-齐穗28 d达到显著性差异(P<0.05),叶绿素b含量增幅为1.98%~13.77%,且FZ和YZ较CK处理在齐穗+28 d达到显著性差异(P<0.05)。可见,水稻半固态播种和插秧较传统撒直播能够提高叶绿素a和b含量,减缓水稻齐穗后叶绿素的分解。

表3 不同栽培方式对水稻剑叶叶绿素含量的影响
Tab.3 Effect of different cultivation patterns on chlorophyll content of flag leaves of rice mg/L

品种Cultivar处理Treatment叶绿素a含量Chlorophyll a content叶绿素b含量Chlorophyll b content齐穗期HD齐穗+7 dHD+7齐穗+14 dHD+14齐穗+21 dHD+21齐穗+28 dHD+28齐穗+35 dHD+35齐穗期HD齐穗+7 dHD+7齐穗+14 dHD+14齐穗+21 dHD+21齐穗+28 dHD+28齐穗+35 dHD+35中早39FZ7.23±0.59a6.68±0.38a6.04±0.14a3.49±0.42a2.93±0.17a2.09±0.23a2.27±0.11a2.19±0.09a2.00±0.12a1.57±0.14a1.42±0.03a1.26±0.10aZhongzao 39MZ7.09±0.16a6.62±0.23a5.99±0.14a3.46±0.40a2.90±0.15a2.05±0.26a2.27±0.06a2.15±0.13a2.01±0.07a1.52±0.22a1.43±0.07a1.28±0.08aYZ7.32±0.40a6.61±0.38a5.97±0.07a3.49±0.36a2.97±0.17a2.11±0.17a2.31±0.07a2.16±0.10a2.00±0.08a1.58±0.11a1.48±0.04a1.28±0.11aCK6.78±0.22a6.27±0.17a5.47±0.34b2.97±0.08a2.55±0.09b1.72±0.14a2.17±0.11a2.10±0.07a1.90±0.06a1.48±0.09a1.35±0.12a1.15±0.08a湘早籼45号FZ6.51±0.19a6.23±0.14a5.56±0.24a3.25±0.15a2.61±0.16a2.61±0.21a2.57±0.06a2.54±0.13a2.31±0.13a1.57±0.08a1.36±0.07a1.13±0.06aXiangzaoxian 45MZ6.58±0.43a6.25±0.07a5.51±0.12a3.20±0.20a2.60±0.22a2.60±0.12ab2.60±0.14a2.56±0.06a2.29±0.08a1.56±0.14a1.33±0.08ab1.13±0.10aYZ6.83±0.14a6.17±0.20a5.54±0.27a3.30±0.12a2.62±0.17a2.62±0.21a2.65±0.06a2.52±0.09a2.30±0.11a1.58±0.10a1.39±0.04a1.14±0.08aCK6.31±0.23a5.90±0.12b5.02±0.17b2.77±0.24b2.18±0.11b2.18±0.09b2.52±0.07a2.45±0.07a2.14±0.13a1.38±0.12a1.23±0.06b1.05±0.04a

2.4 免耕半固态直播对水稻剑叶保护酶活性的影响

由图1可知,早稻和晚稻的2个水稻品种在不同栽培处理下的水稻剑叶POD整体表现为从齐穗期-齐穗+35 d逐渐降低的变化趋势。除2016年中早39晚稻齐穗+14 d外,2 a 2个水稻品种的FZ、MZ、YZ处理齐穗后的水稻剑叶POD均高于CK;除2016年晚稻湘早籼45号外,2 a各处理水稻剑叶POD在齐穗时无显著性差异;2016年中早39早、晚稻FZ处理剑叶POD值从齐穗+21 d-齐穗+35 d较CK的增幅为12.26%~15.72%,17.32%~27.34%,且达到显著性差异(P<0.05);2017年中早39双季稻除晚稻齐穗+28 d外,FZ、MZ、YZ处理的水稻剑叶POD在齐穗+14 d-齐穗+35 d均显著高于CK;2 a湘早籼45号早稻季FZ、MZ、YZ处理的水稻剑叶POD在齐穗+7 d、齐穗+14 d、齐穗+28 d均显著高于CK处理。可见,半固态播种和插秧的种植方式较传统撒播更有利于提高水稻剑叶保护酶POD的活性。

HD.齐穗期;HD+7.齐穗期+7 d;HD+14.齐穗期+14 d;HD+21.齐穗期+21 d;HD+28.齐穗期+28 d;
HD+35.齐穗期+35。柱上不同小写字母表示同一生育期各处理在 0.05 水平差异显著。图2-5同。
HD.Heading stage;HD+7.Heading stage+7 d;HD+14.Heading stage+14 d;HD+21.Heading stage+21 d;
HD+28.Heading stage+28 d;HD+35.Heading stage+35 d.Different small letters on the column indicated that there was
significant difference at the level of 0.05 in the same growth period.The same as Fig.2-5.

图1 不同栽培方式对水稻剑叶POD的影响
Fig.1 Effects of different cultivation patterns on POD in rice flag leaves

由图2可知,早稻和晚稻的2个水稻品种在不同栽培处理下的水稻剑叶SOD活性于齐穗期-齐穗+35 d均呈降低趋势。除2017年中早39早稻齐穗+14 d外,2 a 2个水稻品种的FZ、MZ、YZ处理齐穗后的水稻剑叶SOD均高于CK;2016年中早39早、晚稻FZ处理剑叶SOD值从齐穗+7 d-齐穗+35 d较CK的增幅分别为4.68%~10.13%,4.87%~23.54%,且除早稻齐穗+28 d外均达到显著性差异(P<0.05);2017年中早39双季稻FZ、MZ、YZ处理的水稻剑叶SOD在齐穗+28 d和齐穗+35 d均显著高于CK;2 a湘早籼45号早稻季FZ、MZ、YZ处理的水稻剑叶SOD在齐穗+7 d-齐穗+35 d均显著高于CK处理,2 a增幅分别为4.51%~15.47%,3.76%~14.44%;湘早籼45号晚稻季FZ、MZ、YZ处理的水稻剑叶SOD较CK处理在2016年齐穗期-齐穗+28 d、2017年齐穗+28 d-齐穗+35 d均达到显著性差异(P<0.05)。可见,半固态播种和插秧的种植方式较传统撒播更有利于提高水稻剑叶保护酶SOD的活性。

图2 不同栽培方式对水稻剑叶SOD的影响
Fig.2 Effects of different cultivation patterns on SOD in rice flag leaves

2.5 免耕半固态直播对水稻剑叶丙二醛的影响

由图3可知,早、晚稻在水稻齐穗期后不同栽培处理的水稻剑叶MDA含量均随生育期推进呈不断增加的变化趋势,2 a中早39和湘早籼45号的FZ、MZ、YZ处理的剑叶MDA值在齐穗期-齐穗+35 d均低于CK处理,其中中早39各时期的均值平均降幅分别为13.35%,9.35%,12.49%,9.43%,9.53%和7.12%,湘早籼45号降幅分别为10.22%,7.75%,10.01%,6.72%,8.44%和6.01%。2016年除早稻齐穗期初期与齐穗+35 d外,中早39双季稻FZ、MZ、YZ处理的剑叶MDA值在齐穗期后各时期均显著低于CK处理,早、晚稻降幅分别为4.31%~17.48%,7.54%~22.85%;2017年中早39晚稻季FZ、MZ、YZ处理的剑叶MDA值较CK处理在齐穗+14 d和齐穗+35 d达到显著性差异(P<0.05);除2017年早稻季齐穗+35 d外,2 a湘早籼45号双季稻FZ、MZ、YZ处理的剑叶MDA值较CK处理在齐穗+28 d均达到显著性差异(P<0.05)。可见,半固态播种和插秧的种植方式较传统撒播更有利于降低水稻剑叶MDA含量。

图3 不同栽培方式对水稻剑叶MDA 含量的影响
Fig.3 Effects of different cultivation patterns on MDA content in rice flag leaves

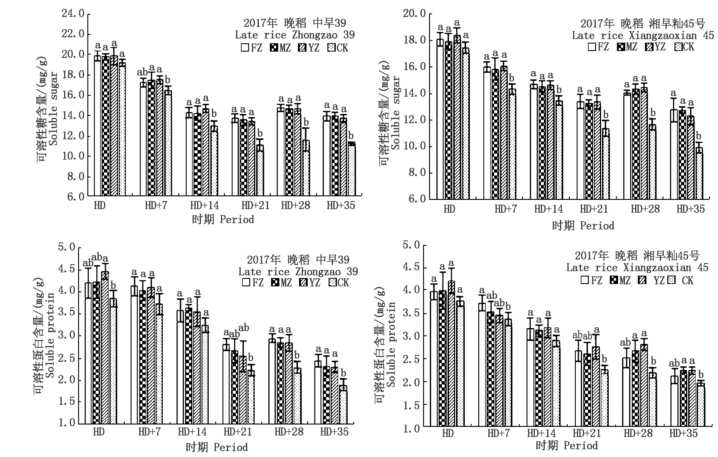
2.6 免耕半固态播种对水稻剑叶可溶性糖和可溶性蛋白含量的影响

由图4可知,2017年晚稻的2个品种在齐穗后不同栽培处理水稻剑叶可溶性糖和可溶性蛋白含量均随生育期推进呈不断下降的变化趋势;中早39和湘早籼45号的FZ、MZ和YZ处理的剑叶可溶性糖和可溶性蛋白含量均不同程度高于CK 处理,其中中早39的FZ、MZ、YZ和CK处理的剑叶可溶性糖含量在齐穗+14 d-齐穗+35 d的增幅为9.38%~26.79%,且均达到显著性差异(P<0.05),且可溶性

图4 不同栽培方式对水稻剑叶可溶性糖和可溶性蛋白含量的影响
Fig.4 Effects of different cultivation patterns on soluble sugar and soluble protein contents in rice flag leaves

蛋白含量FZ、MZ、YZ较CK处理在齐穗+28 d和齐穗+35 d均达到显著性差异(P<0.05),增幅为22.36%~29.04%;湘早籼45号的FZ、MZ、YZ和CK处理的剑叶可溶性糖含量较CK处理在齐穗+7 d至齐穗+35 d均达到显著性差异(P<0.05),增幅为8.28%~28.37%,MZ、YZ可溶性蛋白含量在齐穗+28 d和齐穗+35 d较CK达到显著性差异(P<0.05)。可见,半固态播种和插秧的种植方式较传统撒播更有利于提高水稻剑叶可溶性糖和可溶性蛋白含量。

2.7 免耕半固态直播对水稻齐穗后光合特性影响

由图5可知,2个品种穗后净光合速率呈现出逐渐降低趋势,且均以CK为最低。在抽穗期、抽穗后10 d,2个品种的FZ、MZ、YZ这3个处理的净光合速率无显著差异,但均显著高于CK,分别高出10.56%,11.13%,10.29%和12.40%,14.46%,15.65%。2017年

图5 不同栽培方式对水稻齐穗后光合特性影响
Fig.5 Effects of different cultivation patterns on post heading stage photosynthetic characteristics of rice

中早39晚稻季抽穗后25 d,FZ、MZ、YZ这3个处理的净光合速率相近,较CK平均高出13.42%,但无显著差异。2017年湘早籼45号晚稻季抽穗后25 d,FZ、MZ、YZ这3个处理的净光合速率显著高于CK,分别高出9.10%,6.70%,13.24%,且YZ显著高于MZ。2个品种穗后气孔导度呈现出逐渐降低趋势,且均以CK最低。在抽穗后10,25 d,2017年晚稻季中早39的FZ、MZ、YZ这3个处理的气孔导度无显著差异,但均显著高于CK。2个品种穗后胞间CO2浓度呈现出逐渐降低趋势,且均以CK为最高。2017年晚稻季2个品种的FZ、MZ、YZ这3个处理的穗后胞间CO2浓度无显著差异。2017年晚稻季中早39的FZ、MZ、YZ这3个处理的穗后胞间CO2浓度在抽穗后10,25 d,均显著低于CK,分别降低了9.41%,7.78%,6.98%和7.17%,6.84%,7.97%。可见,半固态播种和插秧的种植方式较传统撒播更有利于提高水稻齐穗后叶片净光合速率和气孔导度,从而降低穗后胞间CO2浓度。

3 讨论与结论

3.1 免耕半固态直播对水稻剑叶叶绿素含量的影响

叶绿体是植株进行光合作用的场所,实现了将太阳能转化为供植株进行生命活动所需的化学能,而光合色素作为光合作用的物质基础,其叶绿素含量及其消长与光合强度密切相关,很大程度上能够反映植株生长状况和叶片的光合能力[17]。剑叶作为水稻最重要的功能叶片,其叶绿素含量的高低决定着水稻光合效率和光能利用率,对于水稻成穗率、籽粒灌浆和产量形成起着极其重要的作用[18]。大量研究证实,水稻剑叶维持较高的叶绿素含量和较长的稳定期,使得叶片具有较高的光合速率,能够将更多的光能转化成化学能,有利于水稻籽粒的充实、粒质量增加和产量的形成[19-21]。本研究结果表明,半固态直播和插秧的种植方式较传统撒直播能够提高水稻齐穗期-齐穗35 d的剑叶SPAD值和叶绿素a、b含量,水稻叶绿素含量高和叶绿素含量维持较长的稳定期,有利于减缓剑叶过早衰老,从而为水稻籽粒充实和产量形成奠定基础。

3.2 免耕半固态直播对水稻剑叶保护酶活性的影响

叶片保护酶系统是植物体内高效的活性氧清除系统,对防止膜脂过氧化、减轻外界环境变化所造成的膜伤害和延缓作物衰老均有重要作用[22],植物在正常生长环境体内其活性氧是能够持续自我产生与清除,使得活性氧维持平衡稳定的状态,并对植物正常生长发育具有重要作用[23]。SOD和POD作为植物体内最为重要的2种保护酶,可起到减少或清除植物体内活性氧对膜质攻击能力的作用,降低植物体内MDA的积累量,增强植物的抗氧化能力。Bailly等[24]研究发现,MDA作为细胞膜脂过氧化的主要产物之一,其含量的增加会加剧细胞膜的损伤,植株遭受渗透胁迫程度提高,进而导致植物生长发育受到影响。本研究结果表明,半固态直播和插秧的种植方式较传统撒直播能够提高水稻齐穗期-齐穗35 d的剑SOD和POD活性,降低MDA在剑叶的积

累量,进而有利于降低或清除叶片中更多的活性氧,从而减缓剑叶衰老程度,为水稻产量及产量形成奠定基础。半固态直播和插秧的剑叶POD和SOD增加,以及MDA含量降低主要得益于破胸稻种以半固态形式播种在稻田里,半固态基质中的肥料可被快速吸收,进而有利于苗旺和壮秧,以及半固态播种可实现水稻以一定株距和行距,水稻生长后期其透风透光能力增强,降低植株的隐蔽作用,进而为水稻后期生长奠定基础。

3.3 免耕半固态直播对水稻剑叶可溶性物质的影响

可溶性糖和蛋白作为具有渗透调节功能的小分子有机化合物,是植物光合作用的直接产物,同时也是逆境条件下很多非盐生植物的渗透调节剂,能够反映作物在逆境条件下细胞渗透势的变化,在植物碳代谢中发挥着非常重要的作用[25]。本研究结果表明,不同栽培处理水稻剑叶可溶性蛋白和可溶性糖含量在齐穗期-齐穗+35 d均呈降低趋势,其中以CK 处理可溶性糖和可溶性蛋白含量最低,均不同程度低于FZ、MZ和YZ处理,说明半固态播种和插秧的种植方式较传统撒直播均能提高剑叶可溶性糖和可溶性蛋白含量,进而有利于维持剑叶正常的生命活动,提高剑叶光合功能及延长光合时间,为籽粒碳、氮化合物积累奠定物质基础,并增加叶片生理生化作用状态,以及提高叶片碳、氮向籽粒转运,从而有利于籽粒积累更多的碳、氮物质[26-27]

3.4 免耕半固态直播对水稻剑叶光合作用的影响

水稻籽粒灌浆时期,穗中积累的有机物质有60%~90%来自功能叶片的光合作用,其中剑叶是对籽粒灌浆贡献最大的功能叶片[28]。水稻剑叶的早衰会破坏叶片中的光合结构,降低叶片的光合速率,减少植株干物质的积累量,使植株光合功能的持续期和籽粒灌浆时间缩短,进而显著影响水稻产量形成[29]。大量研究表明,叶片净光合速率与叶片氮素含量、叶片结构和冠层结构等密切相关,而叶绿素含量又在一定程度能够反映叶片含氮量[30]。因此,叶片SPAD值和叶绿素含量高能够提高叶片光合能力。本研究结果表明,与传统撒直播相比,水稻半固态直播和插秧的种植方式使得水稻齐穗后的剑叶叶片SPAD值维持在较高水平,特别是水稻齐穗15 d后,提高剑叶叶绿素a和b含量,有助于减缓齐穗后的水稻剑叶衰老,进而提高水稻光合特性,为水稻高产奠定了生理和生物学基础。

水稻半固态直播和插秧的种植方式较传统撒直播于水稻齐穗后的剑叶SPAD值、叶绿素a和b含量、可溶性糖、可溶性蛋白含量维持在较高水平,提高了剑叶POD、SOD和CAT保护酶活性,降低MDA含量,有利于减缓剑叶衰老,提高剑叶净光合速率,从而更利于齐穗后干物质的积累和产量的形成。

参考文献:

[1] 谢华.水稻旱直播轻型栽培的作用机理及关键技术[J].现代农业科技,2011(18):59. doi:10.3969/j.issn.1007-5739.2011.18.034.

Xie H. Mechanism and key techniques of dry direct seeding light cultivation of rice[J].Modern Agricultural Sciences and Technology,2011(18):59.

[2] 轧宗杰,卢树昌,侯琨.水稻旱直播栽培发展现状、问题及应用前景[J].作物杂志,2020(2):9-15.doi:10.16035/j.issn.1001-7283.2020.02.002.

Ya Z J,Lu S C,Hou K. Development status,problems and application prospects of dry direct seeding rice[J].Crops,2020(2):9-15.

[3] 沈才标,王驾清,孙祖高,陶建国,赵大权,朱卫,吴耀国.水稻精量穴直播机的引进及应用初探[J].上海农业科技,2012(3):36-38.doi:10.3969/j.issn.1001-0106.2012.03.023.

Shen C B,Wang J Q,Sun Z G,Tao J G,Zhao D Q,Zhu W,Wu Y G. Introduction and application of rice precision hole direct seeding machine[J].Shanghai Agricultural Science and Technology,2012(3):36-38.

[4] 程建平,罗锡文,樊启洲,张集文,吴建平,王在满,臧英.不同种植方式对水稻生育特性和产量的影响[J].华中农业大学学报(自然科学版),2010,29(1):1-5.doi:10.13300/j.cnki.hnlkxb.2010.01.012.

Cheng J P,Luo X W,Fan Q Z,Zhang J W,Wu J P,Wang Z M,Zang Y. Influence of different planting methods on growth and development characteristics and yield of rice[J].Journal of Huazhong Agricultural University, 2010,29(1):1-5.

[5] 陈丽明,王文霞,熊若愚,解嘉鑫,吴自明,谭雪明,曾勇军,陈雄飞,石庆华,潘晓华,曾研华.同步开沟起垄精量穴直播对南方双季籼稻产量和稻米品质的影响[J].农业工程学报,2021,37(1):28-35. doi:10.11975/j.issn.1002-6819.2021.01.004.

Chen L M,Wang W X,Xiong R Y,Xie J X,Wu Z M,Tan X M,Zeng Y J,Chen X F,Shi Q H,Pan X H,Zeng Y H. Effects of simultaneous furrow ridging and precision hill-direct-seeding on grain yield and quality of double-cropping indica rice in South China[J].Transactions of the Chinese Society of Agricultural Engineering,2021,37(1):28-35.

[6] 马晓鹏,莫彦,吕玉平,王则玉,谢香文.不同灌水量与每穴直播粒数对滴灌水稻生长发育及产量的影响[J].灌溉排水学报,2019,38(9):1-7.doi:10.13522/j.cnki.ggps.2019110.

Ma X P,Mo Y,Lü Y P,Wang Z Y,Xie X W. Effects of different irrigation volume and direct seeding number on growth and yield of rice under drip irrigation[J].Journal of Irrigation and Drainage,2019,38(9):1-7.

[7] 段素梅,杨安中,吴文革,许有尊,陈刚,黄义德.氮肥运筹方式对超级稻剑叶生理特性及产量的影响[J].土壤通报,2014,45(6):1450-1454.doi:10.19336/j.cnki.trtb.2014.06.025.

Duan S M,Yang A Z,Wu W G,Xu Y Z,Chen G,Huang Y D. Effects of nitrogen application on physiological characteristics in flag leaves and yield of super hybrid rice[J].Chinese Journal of Soil Science,2014,45(6):1450-1454.

[8] 郭晓红,兰宇辰,胡月,王鹤璎,徐令旗,孙光旭,姜红芳,吕艳东.栽培方式对寒地水稻产量及光合特性的影响[J].中国土壤与肥料,2020(6):220-227. doi:10.11838/sfsc.1673-6257.19506.

Guo X H,Lan Y C,Hu Y,Wang H Y,Xu L Q,Sun G X,Jiang H F,Lü Y D. Effects of cultivation methods on yield and photosynthetic characteristics of rice in cold region [J].Soil and Fertilizer Sciences in China,2020(6):220-227.

[9] 欧阳杰,王楚桃,何光华,钟世良,李顺武,李贤勇.水稻灌浆中后期功能叶中叶绿素含量及其变化趋势与谷物产量关系研究[J].西南农业学报,2012,25(4):1201-1204.doi:10.3969/j.issn.1001-4829.2012.04.015.

Ouyang J,Wang C T,He G H,Zhong S L,Li S W,Li X Y. Study on relationship between different functional leaf chlorophyll content and its trends in mid and late period of rice filling and grain yield[J].Southwest China Journal of Agricultural Sciences,2012,25(4):1201-1204.

[10] 徐友凤,钱晓刚,彭去回.杂交水稻后期增施氮肥对籽粒的增重效应[J].贵州农业科学,2011,39(5):42-44. doi:10.3969/j.issn.1001-3601.2011.05.012.

Xu Y F,Qian X G,Peng Q H. Effect of granular fertilizer on grain weight gain during late growth stage in hybrid rice[J].Guizhou Agricultural Sciences,2011,39(5):42-44.

[11] 梁玉刚,黄璜,李静怡,何斌,周江伟,刘贵斌,周馨.复合肥浓度对水稻半固体播种秧苗素质的影响[J].作物研究,2015,29(6):581-584.doi:10.3969/j.issn.1001-5280.2015.06.02.

Liang Y G,Huang H,Li J Y,He B,Zhou J W,Liu G B,Zhou X. Effect of concentrations of compound fertilizer on seedling quality in se misolid seeding of rice[J].Crop Research,2015,29(6):581-584.

[12] 李静怡,黄璜,梁玉刚,王忍,伍佳,吕广动,杨飞翔.有机肥施用量对免耕半固态直播水稻秧苗素质的影响[J].湖南农业科学,2018(8):13-17. doi:10.16498/j.cnki.hnnykx.2018.008.004.

Li J Y,Huang H,Liang Y G,Wang R,Wu J,Lü G D,Yang F X. Effects of organic fertilizer application amount on seedling quality under no-tillage semi-solid state direct seeding[J].Hunan Agricultural Sciences,2018(8):13-17.

[13] 梁玉刚,张文斗,谭长龙,李静怡,王丹,黄璜.稻田养鸭对直播水稻根系生长性状的影响[J].华北农学报,2017,32(6):154-160.doi:10.7668/hbnxb.2017.06.023.

Liang Y G,Zhang W D,Tan C L,Li J Y,Wang D,Huang H. Effect of duck-raising in paddy fields on the crop root growth character[J].Acta Agriculturae Boreali-Sinica,2017,32(6):154-160.

[14] 朱子超,何永歆,欧阳杰,蒋刚,王楚桃,李贤勇.水稻早代跟踪叶绿素b含量创制耐寡照不育系初探[J].南方农业,2019,13(34):71-75. doi:10.19415/j.cnki.1673-890x.2019.34.019.

Zhu Z C,He Y X,Ouyang J,Jiang G,Wang C T,Li X Y. A preliminary study on the establishment of a sterile line with low light tolerance by tracking the chlorophyll b content in the early generation of rice[J].South China Agriculture,2019,13(34):71-75.

[15] 甄博,周新国,陆红飞,李会贞.高温与涝交互胁迫对水稻孕穗期生理指标的影响[J].灌溉排水学报,2019,38(3):1-7. doi:10.13522/j.cnki.ggps.20180323.

Zhen B,Zhou X G,Lu H F,Li H Z. The effects of alternate hot wave and waterlogging on physiological traits of rice at booting stage[J].Journal of Irrigation and Drainage,2019,38(3):1-7.

[16] 徐涛,才硕,时红,时元智,谢亨旺,刘方平,梁举.拔节期淹水胁迫对水稻叶片酶活性及产量的影响[J].中国农村水利水电,2020(11):89-93,100.doi:10.3969/j.issn.1007-2284.2020.11.017.

Xu T,Cai S,Shi H,Shi Y Z,Xie H W,Liu F P,Liang J. The effects of different flooding stresses on enzymatic activity of the blade and the yield of rice at elongation stage[J].China Rural Water and Hydropower,2020(11):89-93,100.

[17] 袁颖红,樊后保,黄欠如,廖迎春,黄荣珍.长期施肥对水稻光合特性及水分利用效率的影响[J].生态学杂志,2009,28(11):2239-2244.doi:10.13292/j.1000-4890.2009.0380.

Yuan Y H,Fan H B,Huang Q R,Liao Y C,Huang R Z. Effects of long-term fertilization on rice photosynthetic traits and water use efficiency[J].Chinese Journal of Ecology,2009,28(11):2239-2244.

[18] 罗秋红,吴俊,柏斌,庄文,姚栋萍,肖贵,刘雄伦,邓启云.孕穗期低温灌溉对水稻剑叶和颖花生理特征的影响[J].华北农学报,2020,35(3):111-118.doi:10.7668/hbnxb.20190947.

Luo Q H,Wu J,Bai B,Zhuang W,Yao D P,Xiao G,Liu X L,Deng Q Y. Effects of low temperature irrigation at booting stage on physiological characteristics of sword leaves and spikelets in rice[J].Acta Agriculturae Boreali-Sinica,2020,35(3):111-118.

[19] 曹树青,翟虎渠,钮中一,朱新华,张红生,张荣铣,楠谷彰人,崔晶.不同产量潜力水稻品种的剑叶光合特性研究[J].南京农业大学学报,2000,23(3):1-4.doi:10.3321/j.issn:1000-2030.2000.03.001.

Cao S Q,Zhai H Q,Niu Z Y,Zhu X H,Zhang H S,Zhang R X,Kushitani,Cui J. Studies on flag leaf photosynthetic characteristics for rice varieties with different yield potentials[J].Journal of Nanjing Agricultural University,2000,23(3):1-4.

[20] 朱聪聪,张洪程,郭保卫,曹利强,江峰,葛梦婕,花劲,宋云生,周兴涛.钵苗机插密度对不同类型水稻产量及光合物质生产特性的影响[J].作物学报,2014,40(1):122-133.doi:10.3724/SP.J.1006.2014.00122.

Zhu C C,Zhang H C,Guo B W,Cao L Q,Jiang F,Ge M J,Hua J,Song Y S,Zhou X T. Effect of planting density on yield and photosynthate production characteristics in different types of rice with bowl mechanical-transplanting method[J].Acta Agronomica Sinica,2014,40(1):122-133.

[21] 姬静华,霍治国,唐力生,杜尧东,胡飞.早稻灌浆期淹水对剑叶理化特性及产量和品质的影响[J].中国水稻科学,2016,30(2):181-192.doi:10.16819/j.1001-7216.2016.5045.

Ji J H,Huo Z G,Tang L S,Du Y D,Hu F.Grain yield and quality and physiological and biochemical characteristics of flag leaf in early rice as affected by submergence at filling stage[J].Chinese Journal of Rice Science,2016,30(2):181-192.

[22] 唐海明,肖小平,李超,汤文光,郭立君,汪柯,程凯凯,潘孝晨,孙耿.不同土壤耕作模式对双季水稻生理特性与产量的影响[J].作物学报,2019,45(5):740-754. doi:10.3724/SP.J.1006.2019.82030.

Tang H M,Xiao X P,Li C,Tang W G,Guo L J,Wang K,Cheng K K,Pan X C,Sun G. Effects of different soil tillage systems on physiological characteristics and yield of double-cropping rice[J].Acta Agronomica Sinica,2019,45(5):740-754.

[23] 蒙敏,黄雪芬,李磊,罗宇晨,王维生.砷胁迫对桉树抗氧化酶活性的影响[J].基因组学与应用生物学,2017,36(12):5289-5295.doi:10.13417/j.gab.036.005289.

Meng M,Huang X F,Li L,Luo Y C,Wang W S. Effects of arsenic stress on activities of antioxidant enzymes of eucalyptus[J].Genomics and Applied Biology,2017,36(12):5289-5295.

[24] Bailly C,Benamar A,Corbineau F,Come D.Changes in malondialdehyde content and in superoxide dismutase,catalase and glutathione reductase activities in sunflower seeds as related to deterioration during accelerated aging[J].Physiologia Plantarum,1996,97(1):104-110.doi:10.1111/j.1399-3054.1996.tb00485.x.

[25] Thakur P,Kumar S,Malik J A,Berger J D,Nayyar H. Cold stress effects on reproductive development in grain crops:An overview[J].Environmental and Experimental Botany,2010,67(3):429-443.doi:10.1016/j.envexpbot.2009.09.004.

[26] 胡健,王余龙,杨连新,周娟,朱建国.FACE对武香粳14各生育期功能叶片及根系可溶蛋白含量的影响[J].农业环境科学学报,2006,25(5):1117-1121.doi:10.3321/j.issn:1672-2043.2006.05.005.

Hu J,Wang Y L,Yang L X,Zhou J,Zhu J G. Effect of free-air CO2 enrichment(FACE)on concentrations of soluble protein in functional leaves and roots of japonica rice(Oryza sativa L.)cultivar Wuxianjing 14[J].Journal of Agro-Environment Science,2006,25(5):1117-1121.

[27] 胡健,杨连新,周娟,王余龙,朱建国.开放式空气CO2浓度增高和施氮量对水稻结实期叶片内肽酶活力的影响[J].中国水稻科学,2008,22(2):155-160.doi:10.3321/j.issn:1001-7216.2008.02.008.

Hu J,Yang L X,Zhou J,Wang Y L,Zhu J G. Effect of free air CO2 enrichment(FACE)and nitrogen level on endopeptidase activities in rice leaves during grain filling stage[J].Chinese Journal of Rice Science,2008,22(2):155-160.

[28] 李鑫.水稻生育后期剑叶功能稳定性相关生理机制研究[D].武汉:华中农业大学,2017.

Li X. Physiological mechanism of function-stability in rice flag leaf during late growth period[D].Wuhan:Huazhong Agricultural University,2017.

[29] 陈品,陆建飞.长江中下游地区直播稻的生理生态特性及其栽培技术的研究进展[J].核农学报,2013,27(4):487-494. doi:10.11869/hnxb.2013.04.0487.

Chen P,Lu J F. Research advances on the physiological and ecological characteristics and cultivation techniques of direct seeding rice in the middle-lower Yangtze Area[J].Journal of Nuclear Agricultural Sciences,2013,27(4):487-494.

[30] 吴雅薇,李强,豆攀,马晓君,余东海,罗延宏,孔凡磊,袁继超.氮肥对不同耐低氮性玉米品种生育后期叶绿素含量和氮代谢酶活性的影响[J].草业学报,2017,26(10):188-197. doi:10.11686/cyxb2017006.

Wu Y W,Li Q,Dou P,Ma X J,Yu D H,Luo Y H,Kong F L,Yuan J C. Effects of nitrogen fertilizer on leaf chlorophyll content and enzyme activity at late growth stages in maize cultivars with contrasting tolerance to low nitrogen[J].Acta Prataculturae Sinica,2017,26(10):188-197.

Effects of No Tillage Semi-solid Direct Seeding on Physiological Characteristics of Flag Leaves of Rice

LI Jingyi1,2,3,WANG Ren1,2,3,MENG Xiangjie1,2,3,LIANG Yugang1,2,3,GONG Xiangsheng1,2,3,HUANG Huang1,2,3,WEI Hailin4

(1.College of Agronomy,Hunan Agricultural University,Changsha 410128,China;2.Collaborative Innovation Center of Paddy Crop and Oil Crops in Southern,Changsha 410128,China;3.Observation Station of Crop Cultivation Science in Central China,Ministry of Agriculture,Changsha 410128,China;4.Hunan Academy of Forestry,Changsha 410004,China)

Abstract In order to explore the effects of no tillage and semi-solid sowing mode on the physiological and photosynthetic characteristics of flag leaf of rice. Field comparative experiments were designed to study the physiological and photosynthetic characteristics of flag leaf of rice under different cultivation modes,including tillage semi-solid direct seeding(FZ),no tillage semi-solid direct seeding(MZ),rice transplanting(YZ)and traditional direct seeding(CK). In 2016,the flag leaf SPAD values of FZ and MZ treatments of early rice Zhongzao 39 and Xiangzaoxian 45 were significantly higher than those of CK treatment from milk stage to maturity stage. In 2017,the growth rates of FZ,MZ and YZ treatments of early rice Zhongzao 39 were 0.85%-15.41%,1.60%-13.04% respectively compared with those of early rice and late rice of CK treatment,and the differences were significant at heading+28 d and heading + 35 d. The POD and SOD in flag leaves of FZ,MZ and YZ increased after heading,but decreased MDA. The average decrease of MDA content at each growth period of Zhongzao 39 was 13.35%,9.35%,12.49%,9.43%,9.53% and 7.12%,respectively,and that in Xiangzaoxian 45 was 10.22%,7.75%,10.01%,6.72%,8.44% and 6.01%, respectively. The soluble sugar content in flag leaves of FZ,MZ and YZ treatments was significantly higher than that of CK from 14 days to 35 days after heading. In the late rice season of 2017,the transpiration rate of FZ,MZ and YZ treatments was significantly higher than CK in the heading + 25 d,and the net photosynthetic rate was significantly higher than CK at heading stage and 10 days after heading by 10.56%,11.13%,10.29% and 12.40%,14.46% and 15.65% respectively. Semi solid direct seeding and transplanting could improve SPAD value and chlorophyll content of flag leaves,which was beneficial to improve photosynthetic capacity of flag leaves,laid a foundation for accumulation of dry matter and organic matter after full panicle,and then improved rice yield.

Key wordsRice;Semi solid direct seeding;Flag leaves;Protective enzyme activity;Photosynthetic characteristics

收稿日期:2020-12-07

基金项目:国家科技支撑计划项目(2013BAD07B11);湖南省研究生科研创新项目(CX2015B233)

作者简介:李静怡(1984-),女,湖南长沙人,在读博士,主要从事作物生态信息研究。

通讯作者:黄 璜(1958-),男,湖南长沙人,教授,博士后,主要从事农业生态研究。

中图分类号:S511.01

文献标识码:A

文章编号:1000-7091(2021)05-0087-12

doi10.7668/hbnxb.20191932