粒用高粱F2群体农艺性状数量遗传分析

白晓倩,于澎湃,李延玲,高建明,裴忠有,罗 峰,孙守钧

(天津农学院 农学与资源环境学院,天津 300384)

摘要通过对高粱F2群体农艺性状进行数量遗传分析,确定各性状的最适遗传模型并掌握其遗传规律,为田间选育遗传稳定的农艺性状提供参考。以粒用高粱品种忻粱52和美引-20的杂交F2分离群体为试验材料,根据单个分离世代群体的遗传模型方法-主-多基因遗传分析模型对F2世代6个数量性状进行遗传分析。结果表明,6个农艺性状中株高、穗柄长、主茎茎节数、平均茎节长符合遗传模型,受主效基因控制;而穗长和旗叶鞘长不存在主基因,受微效多基因遗传。株高符合Model B_1,受2对主基因控制,为加性-显性-上位性混合遗传模型,主基因遗传率为88.65%;穗柄长和主茎茎节数符合Model A_1,为受1对主基因控制的加性-显性混合遗传模型,遗传率分别为61.58%和68.94%;平均茎节长符合Model A_4,受1对主基因控制,符合负向完全显性遗传模型,主基因遗传率为49.24%。株高、穗柄长和主茎茎节数的主基因遗传率较高,说明这3个性状在后代遗传中受环境影响较小,遗传较稳定,可以在育种早代直接进行选择;而平均茎节长的遗传率较低,说明该性状在后代中遗传不稳定,受环境影响较大,需在育种高代进行选择。

关键词高粱;农艺性状;主-多基因遗传分析;遗传率

高粱(Sorghum bicolor (L.) Moench)为禾本科高粱属作物,是世界上种植的第五大禾谷类作物,也是我国主要旱粮作物之一[1-2],具有抗旱、耐涝、耐贫瘠、耐盐碱等优良特性。在我国,高粱有着悠久的种植历史,自古以来便在我国粮食作物栽培中占据重要地位,且为解决我国粮食生产和饥荒问题做出了重大贡献[3-4]。高粱从用途上可以分为粒用高粱、饲用高粱、甜高粱及帚用高粱四大类;其中,粒用高粱主要用于酿酒、食用、饲料等方面,是重要的酿造原料和粮饲作物[5-8]。一直以来,培育高产高粱品种被视为首要攻坚任务,而大多数产量性状为数量遗传性状,受多个表型性状的综合影响,且各性状之间又相互关联、彼此制约[9-10]。因此,要想培育高产的高粱品种,必须对与高粱产量相关的农艺性状进行分析。

农艺性状是影响高粱育种的重要因素之一,目前,国内大多数粒用高粱品种植株偏高,为机械化收获增加难度;穗柄较短、旗叶鞘较长,会出现“鞘包穗”现象,这种现象致使未抽出的穗发生败育,严重影响产量,有时也会因“包穗”现象,导致旗叶鞘内长期积水,致使穗柄木质化程度降低,容易发生病虫害,穗柄极易折断,然而旗叶鞘过短,又容易出现穗弯曲,严重则会引起倒伏,原因是旗叶鞘包被可增强穗柄的支撑力度[11-12],此外,穗柄长还与单株产量存在负相关关系[13];穗较长,导致开花期延长,相同时间内籽粒成熟度不一致;主茎茎节数越少、平均茎节长越长,其植株的节间数越少,植株在收获后可以作为反刍动物的饲用原料,使其秸秆在收获后可以得到充分利用。农艺性状的选择比较直观且方便测量,同时又与其他性状相关联,对其遗传规律进行深入研究,可以为育种工作者提供可靠的遗传信息[14-16]

本试验选取农艺性状差异较大的国内粒用高粱品种忻粱52和美国引进的粒用高粱品种美引-20为亲本进行杂交,得到F1,经过F1自交获得F2分离群体,对F2群体单株的株高、穗长、穗柄长、旗叶鞘长、主茎茎节数及平均茎节长6个农艺性状进行数量遗传分析,旨在通过这6个农艺性状的主-多基因分析深入研究其遗传规律并确定其广义遗传率,为田间选择优良性状提供参考。

1 材料和方法

1.1 试验材料

试验通过对多个高粱品种农艺性状的测定,选取性状差异大的国内粒用高粱品种忻粱52为父本、美国引进粒用高粱品种美引-20为母本,进行杂交得到F1,经F1自交得到375株F2分离群体。

1.2 试验设计

试验于2016年8月在天津市静海县良种场进行亲本杂交,配制正反交组合,同年在海南试验田进行加代繁殖,2017年初获得F2群体种子。2017年5月在静海良种场按顺序播种亲本、F1和F2,其中,亲本各种植2行,F1正反交各种植3行,F2分离群体种植30行。本试验材料田间种植均行长5 m,行间距0.5 m,株距0.2 m,田间管理同大田生产。

1.3 测定方法

田间性状测定:亲本、F1、F2于完熟期在田间进行农艺性状的测量(为避免边际效应,除去小区两边的两行和每行两端的植株),F2群体需对单株进行各性状的测定[17]

株高(cm):在完熟期,用钢卷尺测定单株植株从地面至穗顶端的距离;穗长(cm):在完熟期,用钢卷尺测定单株植株从穗顶端到穗基部的距离;穗柄长(cm):在完熟期,剥去旗叶叶鞘,用钢卷尺测定穗基部到第一节间的距离;旗叶鞘长(cm):在完熟期,用钢卷尺测定旗叶叶鞘到第一节间的距离;主茎茎节数(节):在完熟期,剥去整个植株的叶片及叶鞘,数出主茎茎节数;平均茎节长(cm):在完熟期,测定的株高和穗长的差与茎节数的比值。

1.4 数据分析

基本数据采用Microsoft Excel 2010和SPSS Statistics 17.0进行处理,F2世代分析根据王建康、盖钧镒[18-21]提出的单个分离世代群体的遗传模型方法-主-多基因遗传分析模型进一步分析,得到本试验F2群体的6个农艺性状的遗传模型以及与之相应的AIC值,并计算出遗传率。

2 结果与分析

2.1 高粱F2群体各农艺性状相关性分析

忻粱52×美引-20杂交F2代群体各农艺性状的相关性分析见表1。由表1可知,株高与穗长、穗柄长、主茎茎节数、平均茎节长呈极显著正相关,其中相关程度最高的性状为平均茎节长,相关系数为0.789,其次是主茎茎节数和穗长,相关系数分别为0.511和0.278;穗长与穗柄长、旗叶鞘长呈极显著正相关,相关系数分别为0.203和0.356,与平均茎节长呈显著正相关,相关系数为0.110;穗柄长与旗叶叶鞘长、平均茎节长呈极显著正相关,相关系数分别为0.711和0.368,与主茎茎节数呈极显著负相关,相关系数为-0.331;旗叶鞘长与平均茎节长呈极显著正相关,相关系数为0.208,与主茎茎节数呈极显著负相关,相关系数为-0.283;而主茎茎节数与平均茎节长无显著相关。

表1 F2群体表型性状相关性分析
Tab.1 Correlation analysis of phenotypic traits in F2 population

性状Trait株高Plant height穗长Panicle length穗柄长Ear length旗叶鞘长Flag leaf sheath length主茎茎节数Number of main stem segments平均茎节长Average stem length株高 Plant height1穗长 Panicle length0.278∗∗1穗柄长 Ear length0.143∗∗0.203∗∗1旗叶鞘长 Flag leaf sheath length0.0570.356∗∗0.711∗∗1主茎茎节数 Number of main stem segments0.511∗∗0.096-0.331∗∗-0.283∗∗1平均茎节长 Average stem length0.789∗∗0.110∗0.368∗∗0.208∗∗-0.0911

注:**.在0.01水平(双侧)上显著相关;*.在0.05水平(双侧)上显著相关。

Note: ** .Significant correlation at 0.01 level(both sides);*.Significant correlation at 0.05 level(both sides).

2.2 高粱F2群体农艺性状表型分析

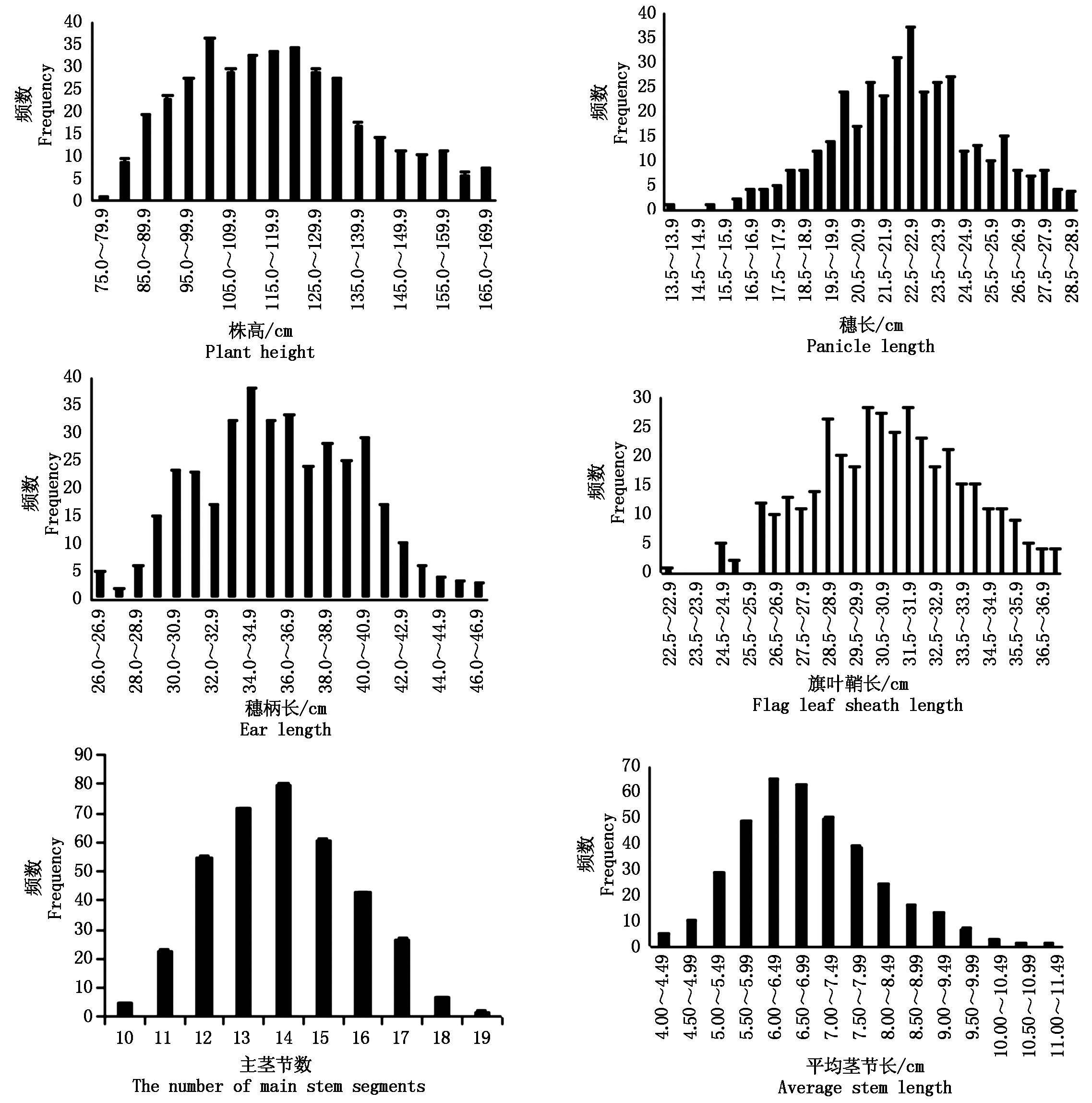
为了了解粒用高粱农艺性状的遗传规律,在忻粱52×美引-20杂交F2群体各农艺性状统计分析(表2)和各农艺性状频数分布图中可以看出(图1),株高、穗长、穗柄长、旗叶鞘长、主茎茎节数、平均茎节长这6个农艺性状的频数分布连续且呈正态分布,符合数量性状遗传特征,说明这6个性状属于数量遗传性状。

表2 F2群体农艺性状统计分析
Tab.2 Statistical analysis of agronomic characters in F2 population

性状Trait均值Average标准差Standard deviation最大值Maximum value最小值Minimum value偏度Skewness峰度Kurtorsis变异系数/%Coefficient of variation株高/cm Plant height118.23820.645 0168.376.90.401-0.49617.46穗长/cm Panicle length22.5592.671 828.613.9-0.037-0.06511.84穗柄长/cm Ear length35.9074.185 846.526.00.062-0.52011.66旗叶鞘长/cm Flag leaf sheath length30.9792.776 137.222.8-0.017-0.4288.96主茎茎节数/节 Number of main stem segments13.9901.804 019.010.00.196-0.43412.89平均茎节长/cm Average stem length6.8911.249 111.474.370.6040.29818.13

2.3 遗传模型的选择

根据盖钧镒-主-多基因混合遗传模型F2单世代分析方法,得到株高、穗长、穗柄长、旗叶鞘长、主茎茎节数和平均茎节长这6个农艺性状的极大似然值和AIC值(表3-4)。根据AIC值最小原则,每个性状挑选出4个AIC值最小的模型作为备选模型(表中用“*”标出)。

2.4 遗传模型检测

利用U12、U22、U32(均匀性检验)、nW2(Smirnov检验)、Dn(Kolmogorov检验)对这6个农艺性状的4个备选模型的F2世代进行适合性检验(表5),选出6个性状最适的遗传模型。

在株高的4种遗传备选模型中, Kolmogorov检验均达到显著水平(P<0.05),其中只有Model B_1 的Smirnov检验达到显著水平(P<0.05),而其他统计量均未达到显著水平,且Model B_1的AIC值最小;因此,选择Model B_1作为该群体株高性状的最适遗传模型,说明在该群体中株高受2对主基因控制,为加性-显性-上位性的混合遗传模型。

在穗长的4种遗传备选模型中, Kolmogorov检验均达到显著水平(P<0.05),而Smirnov检验均未达到显著水平,但相较于另外3种备选模型来说,Model A_0的AIC值最小;因此,选择Model A_0模型作为该群体穗长性状的最适遗传模型,说明穗长没有主基因控制,而是微效多基因遗传的性状。

在穗柄长的4种遗传备选模型中,Kolmogorov检验均达到显著水平(P<0.05),其中只有Model A_1在Smirnov检验中达到显著水平(P<0.05),而且Model A_1在4种备选模型中的AIC值最小;因此选择Model A_1作为该群体穗柄长的最适遗传模型,说明穗柄长是受1对主基因控制,为加性-显性混合遗传模型。

图1 F2群体农艺性状频数分布
Fig.1 Frequency distribution of agronomic traits in F2 population

表3 高粱株高穗长穗柄长遗传模型的极大似然值和AIC值
Tab.3 Maximum likelihood value and AIC values of genetic model of plant height, panicle length and ear length of sorghum

模型Model株高Plant height穗长Panicle length穗柄长Ear length极大似然值MLVAIC值AIC极大似然值MLVAIC值AIC极大似然值MLVAIC值AICModel A_0-1 666.940 0633 337.8801 27-900.176 1471 804.352 295∗-1 068.489 32 140.978 516∗Model A_1-1 656.230 7133 320.461 426∗-900.174 9271 808.349 854-1 065.638 42 139.276 855∗Model A_2-1 666.936 0353 339.872 070-900.174 9881 806.349 976∗-1 068.485 12 142.970 215∗Model A_3-1 666.942 2613 341.884 521-900.163 2081 808.326 416-1 068.497 92 144.995 850Model A_4-1 656.231 2013 320.462 402∗-900.187 5001 808.375 000-1 068.082 42 144.164 795Model B_1-1 649.115 1123 318.230 225∗-900.148 8041 820.297 607-1 064.556 62 149.113 281Model B_2-1 656.229 9803 324.459 961∗-900.174 3161 812.348 633-1 065.638 22 143.276 367Model B_3-1 666.932 6173 341.865 234-900.174 5001 808.348 999-1 068.481 62 144.963 135Model B_4-1 666.937 2563 339.874 512-900.175 1711 806.350 342∗-1 068.486 52 142.972 900∗Model B_5-1 666.942 9933 341.885 986-900.163 8791 808.327 759-1 068.499 42 144.998 779Model B_6-1 666.942 8713 339.885 742-900.164 5511 806.329 102∗-1 068.499 82 142.999 512

表4 高粱旗叶鞘长主茎茎节数平均茎节长遗传模型的极大似然值和AIC值
Tab.4 Maximum value likelihood value and AIC values of genetic model flag leaf sheath lengththe number of main stem segments and average stem length of sorghum

模型Model旗叶鞘长Flag leaf sheath length主茎茎节数Number of main stem segments平均茎节长Average stem length极大似然值MLVAIC值AIC极大似然值MLVAIC值AIC极大似然值MLVAIC值AICModel A_0-914.542 6031 833.085 205∗-752.820 7401 509.641 479∗-615.019 5311 234.039 062Model A_1-914.539 0011 837.078 003-748.425 3541 504.850 708∗-604.778 1981 217.556 396∗Model A_2-914.539 0011 835.078 003∗-752.817 1391 511.634 277-615.020 6301 236.041 260Model A_3-914.532 4101 837.064 819-752.824 4631 513.648 926-615.021 2401 238.042 480Model A_4-914.544 2501 837.088 501-749.929 0771 507.858 154∗-604.778 1371 217.556 274∗Model B_1-911.416 1381 842.832 275-747.976 9291 515.953 857-602.569 3361 225.138 672∗Model B_2-914.536 0721 841.072 144-748.425 1101 508.850 220∗-604.776 9171 221.553 833∗Model B_3-914.536 0721 837.072 144-752.814 1481 513.628 296-615.022 4001 238.044 800Model B_4-914.540 1001 835.080 200∗-752.818 2371 511.636 475-615.019 9581 236.039 917Model B_5-914.533 6911 837.067 383-752.825 3171 513.650 635-615.021 7291 238.043 457Model B_6-914.534 3631 835.068 726∗-752.825 2561 511.650 513-615.021 7291 236.043 457

在旗叶鞘长的4种备选模型中,Smirnov检验和Kolmogorov检验均达到显著水平(P<0.05),均匀性检验均未达到显著水平,其中以Model A_0的AIC值最小。因此,选择Model A_0作为该群体旗叶鞘长的最适遗传模型,说明旗叶鞘长是仅受微效多基因控制而不受主基因控制的性状。

在主茎茎节数的4种遗传备选模型中,均匀性检验、Smirnov检验和Kolmogorov检验均未达到显著水平,其中,Model A_1相对于另外3种备选模型来说AIC 值最小;因此,选择Model A_1为该群体主茎茎节数的最适遗传模型,说明主茎茎节数受1对主基因控制,为加性-显性混合遗传模型。

在平均茎节长的4种遗传备选模型中,除均匀性检验未达到显著水平外,Smirnov检验和Kolmogorov检验均达到了显著水平(P<0.05),且Model A_4在4种模型中AIC值最小。因此,选择Model A_4作为该群体平均茎节长的最适遗传模型,说明该群体的平均茎节长受1对主基因控制,为负向完全显性的遗传模型。

表5 高粱各农艺性状备选模型的适合性检验
Tab.5 Sorghum suitability test for alternative models of agronomic traits

性状Traits模型ModelU12U22U32nW2Dn株高Model B_10.000(0.992 3)0.002(0.968 2)0.015(0.902 8)0.017 0(<0.05)0.020 1(<0.05)Plant heightModel A_10.007(0.934 9)0.023(0.878 9)0.857(0.354 5)0.079 6(>0.05)0.033 9(<0.05)Model A_40.007(0.934 9)0.023(0.878 9)0.858(0.354 4)0.079 6(>0.05)0.034 0(<0.05)Model B_20.007(0.934 9)0.023(0.878 9)0.857(0.354 7)0.079 6(>0.05)0.033 9(<0.05)穗长Model A_00.001(0.972 6)0.012(0.911 0)0.099(0.753 5)0.063 1(>0.05)0.035 3(<0.05)Panicle lengthModel B_60.002(0.965 7)0.013(0.910 4)0.081(0.776 5)0.062 9(>0.05)0.035 4(<0.05)Model A_20.001(0.972 5)0.011(0.916 8)0.081(0.776 0)0.062 4(>0.05)0.035 1(<0.05)Model B_40.001(0.972 5)0.011(0.916 8)0.081(0.776 2)0.062 4(>0.05)0.035 1(<0.05)穗柄长Model A_10.002(0.966 6)0.002(0.960 7)0.129(0.719 4)0.040 0(<0.05)0.024 9(<0.05)Ear lengthModel A_00.010(0.920 4)0.046(0.830 5)1.545(0.213 9)0.101 9(>0.05)0.035 7(<0.05)Model A_20.010(0.920 3)0.049(0.824 0)1.631(0.201 5)0.104 1(>0.05)0.036 0(<0.05)Model B_40.010(0.920 3)0.049(0.824 0)1.632(0.201 4)0.104 1(>0.05)0.036 0(<0.05)旗叶鞘长Model A_00.000(0.983 0)0.028(0.866 2)0.572(0.449 3)0.030 9(<0.05)0.021 3(<0.05)Flag leaf sheath lengthModel B_60.001(0.976 9)0.029(0.865 4)0.624(0.429 5)0.032 3(<0.05)0.021 7(<0.05)Model A_20.000(0.983 0)0.031(0.859 7)0.624(0.429 7)0.032 0(<0.05)0.021 6(<0.05)Model B_40.000(0.983 0)0.031(0.859 6)0.624(0.429 6)0.032 0(<0.05)0.021 6(<0.05)主茎茎节数Model A_10.002(0.960 2)0.000(0.992 9)0.025(0.874 5)0.839 8(>0.05)0.111 8(>0.05)Number of main stem Model A_40.005(0.945 8)0.063(0.801 8)0.549(0.458 8)0.876 1(>0.05)0.116 7(>0.05)segmentsModel B_20.002(0.960 4)0.000(0.993 1)0.025(0.875 0)0.839 8(>0.05)0.111 8(>0.05)Model A_00.150(0.698 6)0.022(0.881 4)0.814(0.366 8)0.927 3(>0.05)0.123 7(>0.05)平均茎节长Model A_40.044(0.833 1)0.075(0.784 5)0.077(0.781 0)0.036 1(<0.05)0.025 7(<0.05)Average stem lengthModel A_10.044(0.833 0)0.075(0.784 4)0.077(0.780 9)0.036 1(<0.05)0.025 7(<0.05)Model B_20.044(0.833 3)0.075(0.784 6)0.077(0.780 8)0.036 1(<0.05)0.025 7(<0.05)Model B_10.006(0.936 9)0.000(0.990 3)0.126(0.722 3)0.035 3(<0.05)0.026 6(<0.05)

2.5 遗传参数估计

根据已经确定的最优模型和IECM[22-24]的估算方法,对F2群体农艺性状进行遗传参数估计(表6)。由于穗长和旗叶鞘长都是微效多基因控制的数量性状遗传,故无法计算二者的主基因遗传率。

该群体的株高遗传符合Model B_1模型,F2群体的分离符合加性-显性-上位性的混合遗传模型;其中,株高的平均值m为120.289 0,偏向于植株相对较高的亲本忻粱52,控制株高的2对主基因的加性效应之和为29.662 3,显性效应之和为-6.275 4,加性效应显著大于显性效应,说明控制该群体株高性状的2对主基因以加性效应为主,主基因遗传率为88.65%。

穗柄长的遗传模型符合Model A_1,F2分离群体符合加性-显性混合遗传模型,受1对主基因控制;穗柄长的平均值35.968 200,偏向于穗柄长相对较长的亲本美引-20,控制穗柄长的主基因的加性效应为4.643 999,显性效应为-0.154 951,说明控制穗柄长的基因以加性效应为主,主基因遗传率为61.58%。

主茎茎节数的遗传模型符合Model A_1,F2分离群体的主茎茎节数受1对主基因控制,符合加性-显性混合遗传模型;控制主茎茎节数的主基因的加性效应为2.033 050,显性效应为-0.571 172,加性效应显著大于显性效应,说明控制该群体主茎茎节数的基因以加性效应为主,主基因遗传率为68.94%。

平均茎节长的数量遗传模型符合Model A_4,F2分离群体的平均茎节长符合1对主基因遗传的负向完全显性遗传模型,主基因遗传率为76.99%;控制该群体平均茎节长的主基因加性效应为1.012 063 5,说明控制该群体平均茎节长的主基因以加性效应为主,主基因遗传率为49.24%。

表6 高粱各农艺性状遗传参数估计
Tab.6 Estimation of genetic parameters of agronomic traits in sorghum

遗传参数估计Genetic parameter estimation株高Plant heightModel B_1穗柄长Ear lengthModel A_1主茎茎节数The number of main stem segmentsModel A_1平均茎节长Average stem lengthModel A_4一阶遗传参数m120.289 035.968 20014.140 1777.429 904 5First order genetic parameterda21.745 44.643 9992.033 0501.012 063 5db7.916 9ha-7.915 5-0.154 951-0.571 172hb1.640 1i7.915 3jab-47.632 1jba5.905 9l4.584 4二阶遗传参数σ2mg377.94010.7892.1480.768Second order genetic parameterσ2pg426.29717.5213.1161.560h2mg88.65%61.58%68.94%49.24%

注:m.群体均方;da.主基因a的加性效应;db.主基因b的加性效应;ha.主基因a的显性效应;hb.主基因b的显性效应;i.2个主基因的加×加效应;jab.加性(a)×显性(b)效应;jba.加性(b)×显性(a)效应;l.2个主基因的显×显效应;主基因方差;多基因方差;主基因遗传率。

Note: m. Population mean square variance; da.Additive effect of the first pair major gene; db.Additive effect of the second pair major gene; ha.Domi-nant effect of the first pair major gene; hb.Dominant effect of the second pair major gene; i.Additive effect plus additive effect of the two major genes;jab.Additive effect plus dominant effect of the two major genes; jba. Dominant effect plus additive effect of the two major genes; l.Dominant effect plus dominant effect of the two major genes; gene variance; variance; gene heritability.

3 结论与讨论

本试验表明,株高符合Model B_1,受2对主基因控制的加性-显性-上位性的混合遗传模型。该性状的加性效应显著大于显性效应,以加性效应为主,主基因遗传率为88.65%,后代遗传也比较稳定,不易受环境影响。而蒋峰等[25]的试验表明,株高符合Model B_2,结果并不一致,造成这种现象的原因可能是所进行试验的亲本及群体大小不同。

穗长与穗柄长、旗叶鞘长存在一定相关性;同时,穗柄长与旗叶鞘长具有极显著的正相关关系,即穗柄长越长,旗叶鞘长也越长。通过主-多基因混合遗传模型分析可知,穗长和旗叶鞘长的遗传均符合A_0模型,两者都不受主基因的控制,而是受微效多基因的控制。穗柄长的遗传符合A_1模型,即加性-显性的遗传模型,受1对主基因的控制,以加性效应为主,主基因遗传率为61.58%,说明不易受到环境的影响,可以在后代中稳定遗传。因此,在进行株型选择时,不仅要考虑基因对该性状的作用,还要尽可能地去消除环境因素造成的影响[26]。高士杰等[27]对穗长的试验研究表明,加性效应占70.43%,显性效应占20.51%,上位效应占9.07%,因此,控制该性状的遗传以加性效应为主。孙守钧等[11]指出,旗叶鞘长以加性效应为主,占92.8%;穗柄长除加性效应外另有35.7%非加性效应,二者都易受环境影响。显然,与本课题试验的研究结果不一致。试验材料所选亲本的不同、人为因素的存在以及外界环境的影响都是造成试验结果存在差异的重要因素[28]

主茎茎节数符合Model A_1,受1对主基因控制,属于加性-显性混合遗传模型。且该性状的加性效应显著大于显性效应,以加性效应为主,其遗传率为68.94%,遗传力较高,说明该农艺性状不易收到环境的影响。平均茎节长符合Model A_4,受1对主基因控制的负向完全显性模型,它的遗传率为49.24%,遗传率较低,在后代遗传中不稳定,容易受到环境的影响。

综上所述,本试验所用高粱群体的株高、穗柄长和主茎茎节数的遗传率较高,受环境因素影响较小,在后代中遗传比较稳定,可以在育种早代直接进行选育;平均茎节长的遗传率较低,说明该性状在后代遗传中受环境影响较大,遗传不稳定,需在高代中进行选育。在高粱育种中,数量性状不仅受遗传因子控制,同时在很大程度上也受环境因素的支配。数量性状遗传上除具有“一因多效”和“多因共效”特性外,同时,外界环境也会对其产生一定程度的影响[29]。因此,在高粱育种中,尤其应注意环境因素对数量性状产生的影响。

参考文献

[1] 张一中,周福平,张晓娟,邵强,杨彬,柳青山.高粱种质材料光合特性和水分利用效率鉴定及聚类分析[J].作物杂志,2018(5):45-53.doi:10.16035/j.issn.1001-7283.2018.05.008.

Zhang Y Z, Zhou F P, Zhang X J, Shao Q, Yang B, Liu Q S. Identification and cluster analysis of photosynthetic characters and WUE in sorghum germplasm[J].Crops,2018(5):45-53. doi:10.16035/j.issn.1001-7283.2018.05.008.

[2] 高旭, 周棱波, 张国兵, 邵明波, 张立异. 基于SSR标记的粒用高粱资源遗传多样性及群体结构[J]. 贵州农业科学, 2016, 44(9): 13-19. doi:10.3969/j.issn.1001-3601.2016.09.004.

Gao X, Zhou L B, Zhang G B, Shao M B, Zhang L Y. Genetic diversity and population structure of grain sorghum germplasm resources based on SSR marker[J]. Guizhou Agricultural Sciences, 2016,44(9):13-19. doi:10.3969/j.issn.1001-3601.2016.09.004.

[3] 马英慧, 李光华. 高粱新技术育种的实践与探讨[J]. 种子科技, 2018, 36(1): 18-19. doi:10.3969/j.issn.1005-2690.2018.01.012.

Ma Y H, Li G H. Practice and discussion on new sorghum breeding technology[J]. Seed Science & Technology, 2018,36(1):18-19. doi:10.3969/j.issn.1005-2690.2018.01.012.

[4] 廖祥龙, 张美艳, 钟声, 王显国, 薛世明, 高月娥. 滇中地区饲用高粱主要农艺性状和品质性状分析[J]. 中国草地学报, 2013, 35(2): 110-115. doi:10.3969/j.issn.1673-5021.2013.02.020.

Liao X L, Zhang M Y, Zhong S, Wang X G, Xue S M, Gao Y E.Analysis of agronomic traits and nutrition quality parameters of forage sorghum in dianzhong region[J]. Chinese Journal of Grassland, 2013,35(2):110-115. doi:10.3969/j.issn.1673-5021.2013.02.020.

[5] 陈艳丽, 田承华, 田怀东. 国内外高粱种质资源形态性状与农艺性状的多样性分析[J]. 山西农业科学, 2015, 43(4): 378-382. doi:10.3969/j.issn.1002-2481.2015.04.03.

Chen Y L, Tian C H, Tian H D. Diversity analysis of morphological and agronomic characters of sorghum at home and abroad[J]. Journal of Shanxi Agricultural Sciences, 2015,43(4):378-382. doi:10.3969/j.issn.1002-2481.2015.04.03.

[6] 成慧娟, 张姼, 隋虹杰, 王立新, 葛占宇, 严福忠. 内蒙古高粱的育种研究历程、问题及发展对策[J]. 种子, 2014, 33(7): 73-74. doi:10.16590/j.cnki.1001-4705.2014.07.057.

Cheng H J, Zhang S, Sui H J, Wang L X, Ge Z Y, Yan F Z. The breeding research progress, problems and development countermeasures of Inner Mongolia sorghum[J]. Seed, 2014,33(7):73-74. doi:10.16590/j.cnki.1001-4705.2014.07.057.

[7] 游录鹏. 高粱遗传连锁图谱的构建及重要农艺性状QTL初步定位[D]. 南京: 南京大学, 2013.

You L P. Construction of the genetic linkage map of sorghum and the primary QTL mapping of some important agronomic traits[D].Nanjing: Nanjing University, 2013.

[8] 肖丹, 张苏江, 王明, 周斐然. 不同甜高粱品种与玉米主要农艺性状比较[J]. 江苏农业科学, 2017, 45(5): 79-83. doi: 10.15889/ j.issn.1002-1302.2017.05.021.

Xiao D, Zhang S J, Wang M, Zhou F R. Comparison of main agronomic characters of different sweet sorghum varieties and maize[J]. Jiangsu Agricultural Sciences, 2017,45(5):79-83. doi: 10.15889/ j.issn.1002-1302.2017.05.021.

[9] 张亚萍, 唐桃霞, 王致和, 张肖凌, 张秀华. 河西地区盐碱地甜高粱农艺性状灰色关联度评价[J]. 中国糖料, 2018, 40(6): 41-43. doi:10.13570/j.cnki.scc.2018.06.012.

Zhang Y P, Tang T X, Wang Z H, Zhang X L, Zhang X H. Evaluation of agronomic characteristics of sweet sorghum by gray relational analysis in saline-alkali soil in Hexi area[J]. Sugar Crops of China, 2018,40(6):41-43. doi:10.13570/j.cnki.scc.2018.06.012.

[10] 王立新, 成慧娟, 张姼, 葛占宇, 严福忠, 隋虹杰. 粒用高粱主要农艺性状的相关和通径分析[J]. 吉林农业科学, 2015, 40(5): 1003-8701. doi:10.16423/j.cnki.1003-8701.2015.05.008.

Wang L X, Cheng H J, Zhang S, Ge Z Y, Yan F Z, Sui H J. Particle correlation and path analysis of main agronomic traits of grain sorghum[J]. Journal of Jilin Agricultural Sciences, 2015,40(5):1003-8701. doi:10.16423/j.cnki.1003-8701.2015.05.008.

[11] 孙守钧,张云华,马鸿图.高粱旗叶鞘长及穗柄长的遗传研究[J].国外农学-杂粮作物,1998,18(6):9-12.

Sun S J,Zhang Y H, Ma H T. Inheritance of length of flag leaf sheath and spike stipe in sorghum[J]. Foreign Agronomy-Crops of Miscellaneous Grain, 1998,18(6):9-12.

[12] 张晓娟, 周福平, 张一中, 邵强, 刘勇, 柳青山. 糯高粱旗叶生育期间叶绿素荧光特性差异分析[J]. 山西农业科学, 2014, 42(12): 1270-1273. doi:10.3969/j.issn.1002-2481.2014.12.11.

Zhang X J, Zhou F P, Zhang Y Z, Shao Q, Liu Y, Liu Q S. Analysis on chlorophyll fluorescence of flag leaves of glutinous sorghum during the growth period[J]. Journal of Shanxi Agricultural Sciences, 2014,42(12):1270-1273. doi:10.3969/j.issn.1002-2481.2014.12.11.

[13] 张文毅.高粱籽粒品质的遗传改良[J].辽宁农业科学,1996(4):3-6.

Zhang W Y. Genetic improvement of grain quality in sorghum[J]. Journal of Liaoning Agricultural Sciences, 1996(4):3-6.

[14] 李欣禹, 罗峰, 刘惠芬, 裴忠有, 高建明, 姜亦巍, 孙守钧. 不同类型高粱与环境的相互作用关系[J]. 江苏农业科学, 2017, 45(4): 59-63. doi: 10.15889/ j. issn.1002-1302.2017.04.018.

Li X Y, Luo F, Liu H F, Pei Z Y, Gao J M, Jiang Y W, Sun S J.Interaction analysis of different sorghum lines and environment[J]. Jiangsu Agricultural Sciences, 2017,45(4):59-63. doi:10.15889/ j. issn.1002-1302.2017.04.018.

[15] 胡文明,徐翠莲,翟云龙,梅拥军.甜高粱株高性状影响因素分析比较方法[J].东北农业大学报,2016,47(9):7-15. doi: 10.3969/j.issn.1005-9369.2016.09.002.

Hu W M, Xü C L, Zhai Y L, Mei Y J. Comparison for influence factors of plant height in sweet sorghum by different methods[J].Journal of Northeast Agricultural Uni versity,2016,47(9):7-15. doi: 10.3969/j.issn.1005-9369.2016.09.002.

[16] 段有厚, 邹剑秋, 卢峰. 甜高粱与粒用高粱正反交F1代农艺性状差异分析[J]. 辽宁农业科学, 2014(6): 6-10. doi:10.3969/j.issn.1002-1728.2014.06.002.

Duan Y H, Zou J Q, Lu F. Analysis of main agronomic traits variance on reciprocal cross F1 generation between sweet sorghum and grain sorghum[J]. Liaoning Agricultural Sciences, 2014(6):6-10. doi:10.3969/j.issn.1002-1728.2014.06.002.

[17] 高进, 施庆华, 蔡立旺, 王永慧, 戚永奎, 施洋, 王为, 丁海荣, 王海洋, 孙艳茹, 陈建平. 甜高粱新品种(系)主要农艺性状与产量的灰色关联度分析[J]. 福建农业学报, 2018, 33(6): 581-586. doi:10.19303/j.issn.1008-0384.2018.06.007.

Gao J, Shi Q H, Cai L W, Wang Y H, Qi Y K, Shi Y, Wang W, Ding H R, Wang H Y, Sun Y R, Chen J P. Grey relativity analysis on main agronomic characteristics and yields of sweet sorghum varieties(lines)[J]. Fujian Journal of Agricultuarl Sciences, 2018,33(6):581-586. doi:10.19303/j.issn.1008-0384.2018.06.007.

[18] 王建康, 盖钧镒. 数量性状主-多基因混合遗传的P1、P2、F1、F2和F(2∶3)联合分析方法[J]. 作物学报, 1998, 24(6): 651-659.

Wang J K, Gai J Y. Identifieation of major gene and polygene mixed inheritance model of quantitative traits by using joint analysis of Pl,F1,P2,F2 and F2∶3 generations[J]. Acta Agronomica Sinica, 1998,24(6):651-659.

[19] 盖钧镒, 王建康. 利用回交或F(2∶3)家系世代鉴定数量性状主基因-多基因混合遗传模型[J]. 作物学报, 1998, 24(4): 402-409.

Gai J Y, Wang J K. Identifieation of major gene and polygene mixed inheritance model from baekcrosses or F2∶3 families[J]. Acta Agronomica Sinica, 1998,24(4):402-409.

[20] 王建康, 盖钧镒. 利用杂种F2世代鉴定数量性状主基因-多基因混合遗传模型并估计其遗传效应[J]. 遗传学报, 1997, 24(5): 432-440.

Wang J K, Gai J Y. Identification of major gene and ploygene mixed inheritance model and estimaiton of genetic parameter of quantitative trait from F2 proeny[J]. Acta Genetica Sinica, 1997,24(5):432-440.

[21] 盖钧镒, 章元明, 王建康. QTL混合遗传模型扩展至2对主基因+多基因时的多世代联合分析[J]. 作物学报, 2000, 26(4): 385-391. doi:10.3321/j.issn:0496-3490.2000.04.001.

Gai J Y, Zhang Y M, Wang J K. A Joint analysis of multiple generations for qtl models extended to mixed two major genes plus polygene[J]. Acta Agronomica Sinica, 2000,26(4):385-391. doi:10.3321/j.issn:0496-3490.2000.04.001.

[22] 章元明, 盖钧镒. 利用DH或RIL群体检测QTL体系并估计其遗传效应[J]. 遗传学报, 2000, 27(7): 634-640.

Zhang Y M, Gai J Y. Identification of mixed major genes and polygenes inheritance model of quantitative traits by using DH or RIL population[J]. Acta Genetica Sinica, 2000,27(7):634-640.

[23] 章元明, 盖钧镒. 数量性状分离分析中分布参数估计的IECM算法[J]. 作物学报, 2000, 26(6): 699-706. doi:10.3321/j.issn:0496-3490.2000.06.009.

Zhang Y M, Gai J Y. The IECM algorithm for estimation of component distribution parameters in segregating analysis of quantitative traits[J]. Acta Agronomica Sinica, 2000,26(6):699-706. doi:10.3321/j.issn:0496-3490.2000.06.009.

[24] 盖钧镒. 植物数量性状遗传体系的分离分析方法研究[J]. 遗传, 2005, 27(1): 130-136. doi:10.3321/j.issn:0253-9772.2005.01.023.

Gai J Y. Segregation analysis of genetic system of quantitative traits in plants[J]. Hereditas, 2005,27(1):130-136. doi:10.3321/j.issn:0253-9772.2005.01.023.

[25] 蒋峰,刘鹏飞,曾慕衡,乐素菊,王晓明.甜玉米株高的多世代遗传分析与QTL定位[J].西北农林科技大学学报(自然科学版),2011,39(3):67-74. doi:10.13207/j.cnki.jnwafu.2011.03.021.

Jiang F,Liu P F,Zeng M H,Le S J,Wang X M. Genetic analysis and QTL mapping for plant height in corn[J]. Journal of Northwest A&F University(Natural Science Edition),2011,39(3):67-74. doi:10.13207/j.cnki.jnwafu.2011.03.021.

[26] Han L J, Chen J, Mace E S, Liu Y S, Zhu M J, Yuyama N, Jordan D R, Cai H W.Fine mapping of qGW1, a major QTL for grain weight in sorghum[J].Theoretical and Applied Genetics,2015,128(9):1813-1825.doi:10.1007/s00122-015-2549-2.

[27] 高士杰,李伟.高粱数量性状的遗传研究Ⅱ.节间长度的基因效应分析[J].吉林农业科学,1994(1):9-10. doi:10.16423/j.cnki.1003-8701.1994.01.002.

Gao S J,Li W. Genetic studies on quantitative traits of sorghum II. Analysis of gene effects of internode length[J]. Journal of Jilin Agricultural Sciences, 1994(1):9-10.doi:10.16423/j.cnki.1003-8701.1994.01.002.

[28] 李延玲, 白晓倩, 于澎湃, 高建明, 裴忠有, 罗峰, 孙守钧. 高粱株型性状数量遗传分析[J]. 华北农学报, 2018, 33(1): 143-149. doi:10.7668/hbnxb. 2018. 01.022.

Li Y L, Bai X Q, Yu P P, Gao J M, Pei Z Y, Luo F, Sun S J. Quantitative genetic analysis of sorghum plant type characters[J]. Acta Agriculturae Boreali-Sinica, 2018,33(1):143-149. doi:10.7668/hbnxb. 2018. 01.022.

[29] 陈小蕾, 袁志发, 郭满才. 主基因-多基因性状与微效多基因性状的综合选择指数研究[J]. 西北农林科技大学学报(自然科学版), 2011, 39(3): 125-129, 136. doi:10.13207/j.cnki.jnwafu.2011.03.013.

Chen X L, Yuan Z F, Guo M C. Research on synthesis selection index for quantitative characters of major-polygene and polygene[J]. Journal of Northwest A & F University(Natural Science Edition), 2011,39(3):125-129, 136. doi:10.13207/j.cnki.jnwafu.2011.03.013.

Genetic Analysis of Agronomic Characters in F2 Population of Sorghum bicolor

BAI Xiaoqian,YU Pengpai,LI Yanling,GAO Jianming,PEI Zhongyou,LUO Feng,SUN Shoujun

(College of Agronomy & Resources and Environment, Tianjin Agricultural University, Tianjin 300384,China)

Abstract The quantitative genetic analysis of the agronomic traits of the sorghum F2 population was carried out to determine the optimal genetic model of each trait and to master its genetic laws, which provided a reference for the agronomic traits in the field breeding genetic stability. F2 populations derived from grain sorghum variety Xinliang 52 and Meiyin-20 were used as material, of which 6 agronomic traits were analyzed through major gene plus polygene mixed genetic model for quantitative traits. The results showed that among the six agronomic traits, the plant height, the length of the stalk, the number of main stems, and the average stem length were in accordance with the quantitative genetic model, which were controlled by major genes, while the spike length and flag sheath length were not controlled by major genes but inherited by micro genes. The plant height was well fit into Model B_1, i.e. The mixed genetic model of additivity-dominance-epistasis, which was controlled by two major genes, and the heritability of major genes was 88.65%; the ear handle length and main stem numbers was coincidence with the Model A_1, i.e. The additive-dominant hybrid genetic model for master-gene control, and the heritability rates were 61.58% and 68.94%, respectively; the average internode length was fit with Model A_4, i.e. The negative fully dominant genetic model, and the heritability rate was 49.24%. The genetic rate of the main gene of plant height, ear handle length and main stem numbers were higher than the other indices, indicating that the three traits were less affected by the environment in the inheritance of the offspring, the inheritance was relatively stable and could be directly selected in the early generation of breeding, while the heritability of the average internode length was lower, indicating that this trait was genetically unstable in the offspring, and was affected by the environment, which need to be selected in the high generation of breeding.

Key words: Sorghum bicolor; Agronomic traits; Major-multi-gene genetic analysis; Heritability

中图分类号S514.03

文献标识码:A

文章编号:1000-7091(2019)01-0107-08

doi:10.7668/hbnxb.201751155

收稿日期2018-11-27

基金项目天津市科委科技支撑计划项目(16YFZCNC00630)

作者简介白晓倩(1993-),女,天津宝坻人,在读硕士,主要从事饲用作物遗传改良研究。

通讯作者

孙守钧(1961-),男,山东文登人,教授,博士,主要从事饲用作物遗传改良研究。

罗 峰(1980-),男,黑龙江哈尔滨人,副教授,硕士,主要从事饲用作物遗传改良研究。