外源亚精胺对水分亏缺下冬小麦小花发育及结实特性的调控效应

孔 祥,张 鑫,黄 翠,骆永丽,李 勇,金 敏

(山东农业大学 农学院,作物生物学国家重点实验室,山东 泰安 271018)

摘要:为了探究外源亚精胺(Spd)对水分亏缺下冬小麦小花发育动态、结实特性、内源激素含量及籽粒产量的影响,以冬小麦品种泰科麦33为试验材料,设置正常灌水WW(相对含水量为田间持水量的75%~80%)和水分亏缺WD(相对含水量为田间持水量的50%~60%) 2个水分处理进行研究。结果表明,喷施外源Spd对水分亏缺下小麦强势小花的发育无显著影响,但是显著加快了弱势小花的发育进程。正常灌水条件下喷施Spd显著提高了小麦穗基部的可孕小花数(FF)、结实粒数(GN)和结实率(GS)。正常灌水和水分亏缺条件下喷施Spd提高1,2,3,4花位的结实粒数,分别提高4.6%,9.1%,21.8%,57.1%和 0.7%,1.4%,4.1%,31.5%,同时提高弱势小花内源Z+ZR的含量,在开花前2~6 d,强势小花的Z+ZR高于弱势小花,水分亏缺处理强势小花和弱势小花的ABA含量均高于其他处理。从开花前14 d至开花期,小麦小花中Spd、Spm和Put含量呈明显下降趋势。正常灌水和水分亏缺条件下喷施Spd处理后提高小花中内源Spd和Spm,降低Put的含量,显著提高小麦籽粒产量,籽粒产量分别提高2.01%和20.83%。因此认为,水分亏缺条件下外源喷施Spd,增加了弱势小花内源Spd、Spm和Z+ZR含量,提高弱势小花(Z+ZR)/ABA的比值,同时加速弱势小花的发育,抑制小花退化,提高结实率,进而改善结实特性,从而提高小麦穗粒数,最终提高籽粒产量。

关键词:水分亏缺;小花发育;结实特性;亚精胺

小麦的单位面积产量是由单位面积穗数、穗粒数和千粒质量构成的,其中提高穗粒数,增加单位面积籽粒数,是提高小麦产量的关键途径之一[1-3]。小麦穗粒数是由小花分化、发育、退化和结实等一系列生理特性决定的[4]。前人研究表明,小麦拔节-孕穗期是小花发育、退化的关键时期,而此阶段也是小麦对土壤水分含量的敏感期[5]。研究小麦穗粒数的形成机制及其对水分亏缺的响应,对高产品种的选育、小麦生育期栽培管理等具有重要理论参考意义。黄淮海地区降水季节分布不均匀,小麦整个生育期降雨量占年降雨量的25%左右,自然降雨不能满足冬小麦生长的需要[6],因此,水分是制约该区域冬小麦生产的关键因素之一[7]。水分亏缺导致小麦穗轴维管束数目及面积减少,非籽粒器官干物质量增加,小麦粒质量降低[8]。重度干旱导致可孕花数减少,结实率下降[9],穗粒数显著降低[10]。因此,研究水分亏缺下栽培化控措施对小麦高产高效有重要意义[11]。多胺是一类广泛存在于生物体内的低分子量脂肪族含氮碱的总称,植物体内常见的多胺有腐胺(Put)、亚精胺(Spd)、精胺(Spm)等,其具有刺激细胞分裂、提高抗性、调节开花等作用[12-13]。研究表明,外源Spd提高了小麦生殖生长的速度,增加了小穗的数量[14]。施用外源Spd后,抑制小麦小花的退化,提高了可孕小花数。同时,外源Spd也影响小花内源激素含量,如玉米素+玉米素核苷(ZT+ZR)及ZT+ZR与脱落酸(ABA)的比值显著上升[15]。外源ZT增加小麦小花结实粒数,促进穗内IAA、ZR的积累,降低ABA含量,有利于小花发育[16]。水分亏缺对小花发育及结实率的影响研究已有报道,但外源Spd对水分亏缺条件下小麦小花发育、结实特性、内源激素和产量形成的影响仍需深入研究。通过分析外源Spd对水分亏缺条件下冬小麦产量及产量构成因素、小花动态发育、小花结实特性、内源激素含量等影响,研究水分亏缺条件下外源Spd对冬小麦小花发育、退化机制,以期为外源化控措施调控小麦穗粒数提供理论依据。

1 材料和方法

1.1 试验设计

试验于2017-2018年小麦生长季在山东农业大学泰安农学试验场遮雨棚旱池内进行。试验田土壤为棕壤土,试验地耕层(0~20 cm)土壤含有机质14.21 g/kg、全氮1.35 g/kg、铵态氮6.06 mg/kg、硝态氮12.91 mg/kg、速效磷9.86 mg/kg和速效钾84.33 mg/kg。播种前施入基肥纯氮120 kg/hm2、P2O5 75 kg/hm2、K2O 100 kg/hm2,拔节初期追施纯氮120 kg/hm2。试验小区面积2.5 m×2.5 m=6.25 m2,各小区10行种植,行距25 cm,随机区组排列。其他田间管理同一般高产田。

供试品种为泰科麦33,种植密度300株/m2,采用随机区组试验设计,3次重复,试验如下处理:对照(WW+CK):正常灌水(相对含水量为田间持水量的75%~80%)同时喷施清水;对照且喷施亚精胺(WW+Spd):正常灌水同时喷施1 mmol/L Spd;水分亏缺(WD+CK):水分亏缺(相对含水量为田间持水量50%~60%)同时喷施清水;水分亏缺且喷施亚精胺(WD+Spd):水分亏缺同时喷施1 mmol/L Spd。小麦小花原基分化期开始控水,至开花期结束,采用美国Decagon公司生产的土壤含水量监测系统(ECH2O)准确实时监测土壤体积含水量,每15 min读取 1 个数据,当土壤体积含水量达到阈值时,计算补灌水量并及时补灌。控水开始同时喷施Spd,每天下午16:00-18:00喷施,连续喷施4 d,每个小区喷施量为1.5 L,所有喷施液中均含有0.01%Tween-20,Spd和Tween-20均购自美国Sigma公司。

1.2 测定项目与方法

1.2.1 小麦生育期积温计算 积温(℃·d)的计算公式参照Zheng等[17]的计算方法。

Thermal time from sowing=∑((Tmax+Tmin)/2)

公式中Tmax为一天的最高温度(℃),Tmin为一天的最低温度(℃),从播种当天算起,设为零度,至开花期结束。

1.2.2 小花的命名 小花的命名参照Gonzlez等[18]的方法,按照F1~Fn(同一小穗中距离穗轴的远近,距离穗轴最近的为F1,最远的为Fn)。

1.2.3 小麦小花取样及显微结构观察 参考吕晓康等[15]和倪英丽[16]对小麦小花发育的研究,从开花前18 d至开花期每隔4 d选择发育一致的主茎50个,将小麦穗分为基部(基部4个小穗)、中部(中间小穗)、顶部(顶端4个小穗)。以小麦穗中部第5~15小穗基部小花为强势小花(第1~2位小花),上部小花为弱势小花(第3~5位小花),两部分小花在冰面上剥去、称质量,液氮速冻后放入-80 ℃冰箱保存,用于内源激素和内源多胺的测定。

1.2.4 小花游离态多胺测定 测定方法参考Cai等[19]的方法加以优化,称取0.1 g样品,液氮研磨,样品中加入0.1%(V/V)甲酸水,涡旋1 min,使用密闭式微波消解系统(ANTON PAAR公司;Multiwave 3000)在60 ℃,600 W条件下微波萃取10 min,萃取后自然冷却至室温,离心(10 260 r/min,10 min),取上清,蒸发浓缩后用1 mL纯甲醇复溶。0.22 μm有机系滤膜过滤后上机(UPLC MS/MS,XEVO-TQS,Waters),样品上样量为5 μL。

1.2.5 小花内源激素测定 Z+ZR测定方法参考Liu等[20]的方法加以优化,称取0.1 g样品,液氮研磨,样品中加入750 μL预冷的提取液(甲醇∶水∶乙酸=80∶19∶1),加入内标,涡旋1 min,离心(11 700 r/min,15 min),取上清,蒸发浓缩后用100 μL纯甲醇复溶。0.22 μm有机系滤膜过滤后上机(UPLC MS/MS,XEVO-TQS,Waters),样品上样量为5 μL。

ABA测定方法参考Engelberth等[21]的方法加以优化,称取0.1 g样品,液氮研磨,样品中加入1 000 μL 的萃取剂(丙酮∶柠檬酸=7∶3),加入内标,涡旋1 min,放入通风橱过夜后,样品中加700 μL的石油醚,混匀振荡,离心(10 260 r/min,5 min),蒸发浓缩后用100 μL纯甲醇复溶。0.22 μm有机系滤膜过滤后上机(UPLC MS/MS,XEVO-TQS,Waters),样品上样量为5 μL。

1.2.6 小麦结实特性与产量测定 成熟期每处理取40个穗,调查不同处理条件下不同小穗位(基部、中部、顶部)结实粒数、每小穗结实粒数和每小穗不同花位籽粒结实数。在各小区内选择长势均匀一致的区域,划定2 m×4行(共计2 m2,不包括边行)的面积用于籽粒产量的测定,并记录穗数。该测产区域人工收获,并采用QKT-320A型小型种子脱粒机(河南省卫辉市种子机械制造厂)脱粒。风干后籽粒含水量降至12%时,用于测定产量和调查千粒质量。

1.3 数据统计与分析

用Microsoft Excel 2016整理数据,SPSS 19.0统计分析软件对数据进行统计分析,用SigmaPlot 10.0软件绘图。

2 结果与分析

2.1 Spd对不同水分条件下冬小麦小花(1~4)发育动态的影响

图1结果表明,正常灌水处理下,小麦穗基部、中部、顶部1、2位小花,穗中部3位小花均能发育到W10时期(图1-C1、C2、B1、B2、B3、A1、A2)。与WW+CK处理相比,WD+CK处理的小麦穗顶部和基部3位小花、中部和基部4位小花均不能发育到W10时期(图1-A3、C3、B4、C4),喷施Spd后穗基部、顶部3位小花均能够正常发育(图1-C3、A3)。与WW+CK相比,WW+Spd处理对不同穗位的1,2位小花,穗中部3位小花的发育影响不显著,但喷施Spd提高了穗顶部3位小花的发育程度。WD+CK处理的穗基部、中部4位小花分别在W6.3、W7.3时期发育停止(图1-C4、B4)。与WD+CK处理相比,WD+Spd处理的穗基部、中部4位小花均能够正常发育,表明外源喷施Spd可减缓水分亏缺对小花发育的影响。以上结果表明,水分亏缺条件下喷施Spd对不同穗位1,2小花及穗中部3位小花发育进程影响不显著,但对穗基部、顶部3位小花和穗基部、中部4位小花发育进程影响显著。

2.2 Spd对不同水分处理下冬小麦不同穗位小花结实特性的影响

2.2.1 冬小麦不同小穗位的结实粒数 由图2可以看出,除基部4个小穗外,WW+CK、WW+Spd、WD+Spd处理间结实粒数均无显著差异。除第1个小穗外,WD+CK处理的结实粒数均显著低于其他处理。与WW+CK相比,WD+CK处理的结实粒数显著降低。与WW+CK和WD+CK相比,WW+Spd和WD+Spd处理的基部第2,3,4小穗结实粒数显著提高。WW+CK、WW+Spd、WD+Spd处理结实总小穗数为19个,第19个小穗的平均结实粒数分别为0.67,0.83,0.83个。WD+CK处理结实总小穗数为18个,第18个小穗的结实粒数为0.43个。

WW+CK.正常灌水条件下喷施清水;WW+Spd.正常灌水条件下喷施Spd;
WD+CK.水分亏缺条件下喷施清水;WD+Spd.水分亏缺条件下喷施Spd。不同字母表示处理间差异达0.05显著水平。
WW+CK. Spraying water under normal irrigation condition;WW+Spd. Spraying Spd under normal irrigation condition;
WD+CK. Spraying water under water deficit condition;WD+Spd. Spraying Spd under water deficit condition.
Different lowercase letters above the bars indicate significant differences between treatments at P<0.05.

图1 不同处理的不同穗位1~4位小花的发育进程
Fig.1 Floret development of winter wheat after jointing for the 1-4 florets proximal to the
rachis florets in each of the three spikelet categories under different treatment

2.2.2 冬小麦不同小穗位不同花位的结实粒数 由图3可以看出,各处理不同穗位不同花位结实粒数均表现为第1花位结实粒数最多,第4花位结实粒数最少。水分亏缺显著降低不同穗位不同花位的结实粒数。与WW+CK处理相比,WD+CK处理的1,2,3花位结实粒数分别降低了4.6%,4.6%,5.6%,WD+CK处理的第4位小花不能结实。与WW+CK相比,WW+Spd处理的1,2,3,4花位结实粒数分别增加了4.6%,9.1%,21.8%,57.1%,WD+Spd处理的1,2,3,4花位结实粒数分别增加了0.7%,1.4%,4.1%,31.5%,可见,喷施Spd对高位小花籽粒结实的影响大于低位小花,而在水分亏缺条件下显著增加第4位小花的结实籽粒数。

1~4.基部小穗;5~15.中部小穗;16~19.顶部小穗。
1-4.Basal spikelets 5-15.Central spikelets;16-19.Apical spikelets.

图2 不同小穗的平均结实粒数
Fig.2 The average grain number in each spikelet position on the main-shoot spike

图3 不同小花位的平均结实粒数
Fig.3 Average grains in different spikelet position from the bottom to the top rows

2.2.3 冬小麦不同穗位的可孕小花数、结实粒数、结实率 由图4可以看出,各处理不同穗位的平均可孕小花数表现为中部穗位最多,为30~35个,其次是基部穗位,为11~16个,顶部穗位最少,为11~13个。与WW+CK相比,WD+CK处理的可孕小花数显著降低。与WW+CK和WD+CK相比,基部小穗喷施Spd显著提高可孕小花数,WW+Spd和WD+Spd处理的可孕小花数分别提高13.43%,15.25%。WW+CK、WW+Spd、WD+Spd处理间,中部小穗、顶部小穗的可孕小花数无显著差异,但WD+CK处理的可孕小花数均显著低于其他处理。可见,与WW+CK处理相比,WW+Spd处理可显著提高基部穗位的可孕小花数。与WD+CK处理相比,WD+Spd处理显著提高基部、中部、顶部穗位的可孕小花数,且能够达到WW+CK水平。结实粒数和结实率与可孕小花数表现出相似的趋势。

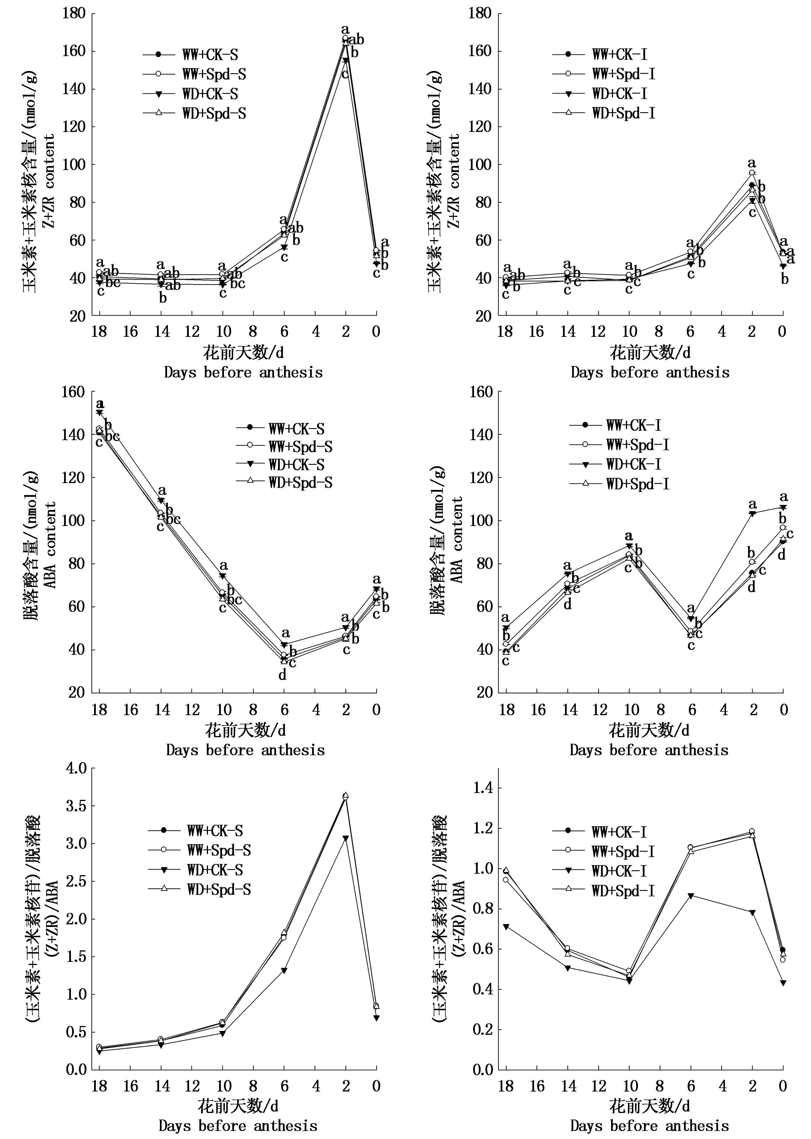
2.3 Spd对水分亏缺下对小花内源激素的影响

图5研究结果表明,强势小花和弱势小花中内源激素Z+ZR的含量(以鲜质量计)呈先升高后下降的趋势,开花前第2天达到最大值。开花前10~18 d强势小花和弱势小花内源激素Z+ZR的含量无明显变化,开花前第2天强势小花内源激素Z+ZR的含量显著高于弱势小花。与WW+CK相比,开花前10 d WD+CK显著降低强势小花和弱势小花内源激素Z+ZR的含量,开花前2~14 d WW+Spd显著提高弱势小花内源激素Z+ZR的含量。与WD+CK相比,开花前6 d WD+Spd处理显著提高强势和弱势小花内源Z+ZR的含量。

图4 不同穗位可孕小花数、结实粒数和结实率
Fig.4 Fertile florets,grains number and grain set in basal,central,and apical spikelet

S.强势小花;I.弱势小花。
S.Superior floret;I.Inferior floret.

图5 外源亚精胺对小麦小花内源Z+ZR和ABA含量及(Z+ZR)/ABA的影响
Fig.5 Effect of exogenous spermidine on endogenous Z+ZR and ABA contents in
wheat floret and the ratio of Z+ZR to ABA in floret of wheat

开花前18 d,各处理强势小花和弱势小花的内源ABA含量(以鲜质量计)变化显著不同。此时期强势小花内源ABA含量先降低后升高,且在开花前第6天达最小值,而弱势小花内源ABA含量呈先升高后下降再上升的趋势。与WW+CK相比,WD+CK处理显著提高强势小花和弱势小花内源ABA含量。与WD+CK相比,WD+Spd显著降低强势小花和弱势小花内源ABA含量。强势小花(Z+ZR)/ABA比值的变化规律与Z+ZR含量变化一致。与WD+CK相比,WD+Spd处理的弱势小花(Z+ZR)/ABA值明显提高,表明水分亏缺下,外源Spd调控弱势小花与Z+ZR和ABA之间的平衡有关。

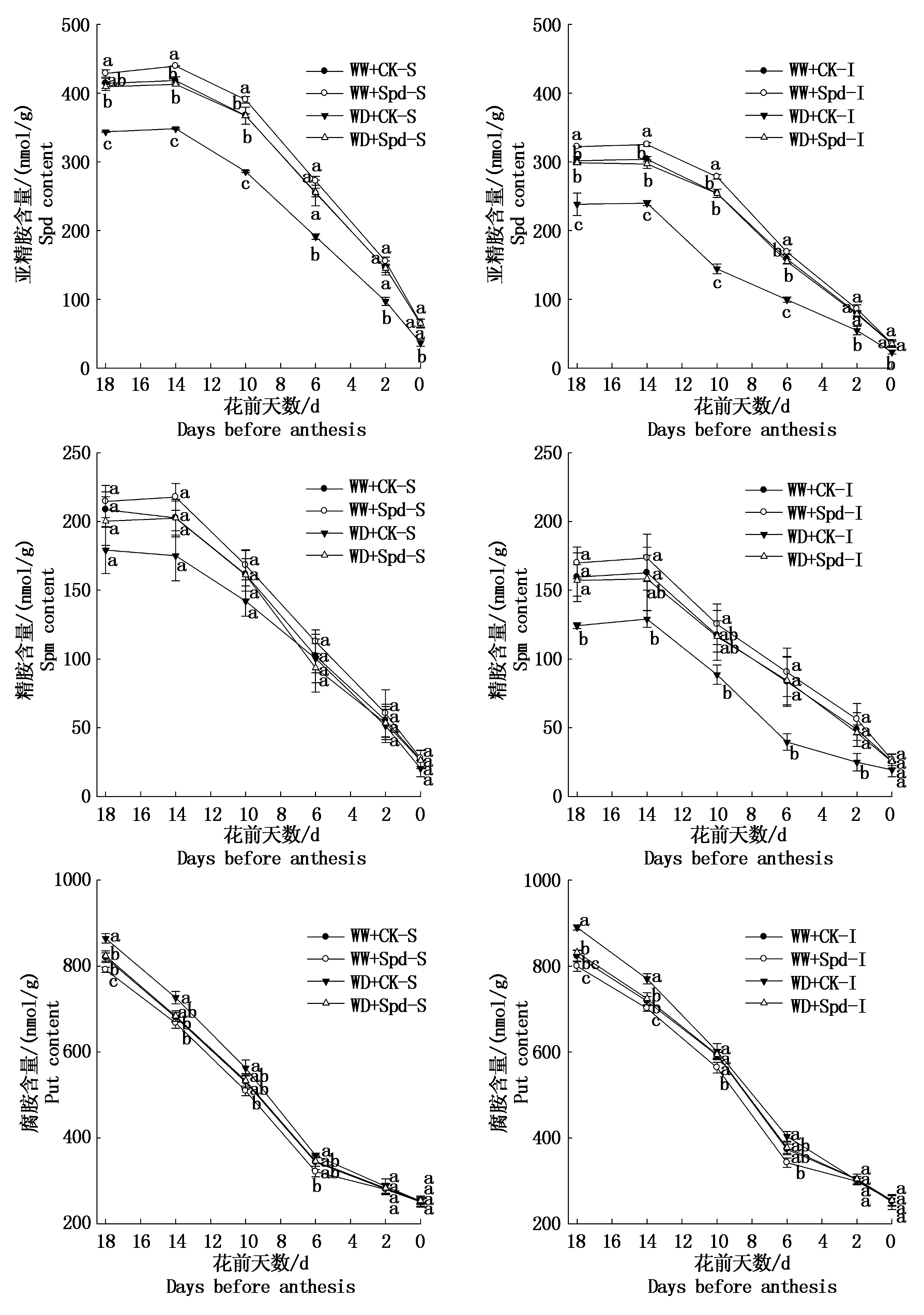
2.4 Spd对水分亏缺下小花内源多胺的影响

图6研究结果表明,开花前14 d小麦小花中内源Spd、Spm含量(以鲜质量计)呈明显下降趋势,开花前18 d小麦小花中内源Put含量(以鲜质量计)呈下降趋势。小麦强势小花中Spd和Spm含量显著高于弱势小花,而弱势小花中的Put含量略高于强势小花。与WW+CK相比,WD+CK处理显著降低Spd含量。与WW+CK和WD+CK处理相比,WW+Spd和WD+Spd处理提高小花中Spd和Spm含量,降低Put含量。

图6 外源亚精胺对小麦小花内源多胺的影响
Fig.6 Effect of exogenous spermidine on endogenous PA contents in wheat floret

2.5 Spd对水分亏缺下冬小麦产量及其产量构成的影响

从表1分析可知,WW+CK处理的穗粒数、产量均显著高于WD+CK处理。与WW+CK和WD+CK处理相比,喷施外源Spd显著提高小麦籽粒产量,WW+Spd和WD+Spd处理的籽粒产量分别提高2.01%,20.83%,这是由于喷施外源Spd显著提高了产量构成因素中的穗粒数。与WW+CK和WD+CK处理相比,WW+Spd和WD+Spd处理的穗粒数分别提高11.87%,13.75%,但喷施外源Spd对单位面积穗数和千粒质量无显著影响。

表1 喷Spd对水分亏缺下冬小麦产量及其产量构成的影响
Tab.1 Effect of spraying Spd on yield and yield components of winter wheat under water deficit

处理Treatment穗数/(×104/hm2)Spike number穗粒数Grains per spike千粒质量/g1000-kernel weight产量/(kg/hm2)Grain yieldWW+CK520.79±7.22a43.14±5.73b44.16±1.38a8 758.14±32.39bWW+Spd515.99±7.57a48.26±5.83a45.07±2.33a8 933.98±45.46aWD+CK510.12±24.61a38.32±6.71c43.88±1.68a7 265.99±111.43cWD+Spd507.99±30.76a43.59±5.38b45.62±1.28a8 779.72±19.29b

3 讨论

小麦穗粒数是产量的关键构成因素之一,当前高产水平下,在一定穗数基础上,调控穗粒数对产量的提高起重要作用[22]。本研究结果表明,与正常灌水相比,水分亏缺显著降低了小麦穗粒数,显著降低籽粒产量。前人研究发现,外源Spd显著减轻干旱胁迫对籽粒灌浆的抑制作用[23],促进小麦籽粒灌浆,从而增加粒质量。同时,外源亚精胺抑制弱势小花退化,提高小麦穗粒数。Zheng 等[17]的研究结果表明,外源 6-BA降低了小麦穗中部和基部小穗的小花退化速率,提高了小花结实率,最终提高了穗粒数。水分亏缺条件下喷施外源Spd显著提高小麦籽粒产量,这是由于外源Spd显著提高小麦穗粒数。本研究认为,外源Spd可提高小麦可孕小花数、结实粒数和结实率,从而提高小麦穗粒数,尤其提高高位小花的结实籽粒数。

小麦穗粒数的形成进程包括小花分化、发育、退化和结实等生理过程。小麦分化的小花数是比较稳定的,一般150朵左右,其中70%~80%的小花先后退化,而只有20%~30%的小花能发育形成籽粒[24]。前人研究表明,水分胁迫影响小花发育,减少了小花数量[25]。本试验研究结果表明,水分亏缺下降低可孕小花数。水分亏缺条件导致ABA含量积累[26],而ABA减缓小花的发育[27]。本研究结果表明,正常灌水和水分亏缺下喷施外源Spd均能提高可孕小花数,尤其显著提高基部可孕小花数。这是由于水分亏缺提前终止高位小花的发育,加速了弱势小花的退化。前人研究认为小花发育期缩短、小花退化与其内源激素含量及平衡相关[28]。研究认为细胞分裂素影响小花发育[29],高浓度的细胞分裂素促进颖花分化,有利于颖花延长分化时间,提高每穗的颖花分化量[30]

外源多胺可以调控植物在逆境胁迫下多种生理生化反应,提高植物体的逆境抵抗能力。研究认为水分亏缺条件下,显著降低小麦籽粒中Spd和Spm的浓度,而提高籽粒Put浓度[31]。有研究认为,外源Spd可显著提高CTK、KT和ABA含量,有利于保护光合机构,降低水分散失[32]。研究表明,外源Spd和Spm通过提高弱势小花内源Z+ZR与ABA的比值,改善弱势小花的碳氮营养,从而抑制了弱势小花的退化[15]。王兆龙等[33]的研究认为可孕花与不孕花在内源激素上表现出不同的变化动态,可孕花ABA含量随小花发育逐渐降低,IAA含量稳定在较低水平,不孕花IAA含量在小花开始退化时处在较高水平上,ABA含量随小花退化而逐渐上升。本研究发现,与正常灌水处理相比,水分亏缺处理显著提高小花中Put含量。正常灌水和水分亏缺条件下,喷施外源Spd显著提高小花内源Spd和Spm含量,降低内源Put含量,小麦强势小花内源Spd、Spm含量均高于弱势小花。外源Spd提高水分亏缺下弱势小花内源Z+ZR和降低ABA含量,且提高弱势小花(Z+ZR)/ABA值。

综上所述,水分亏缺条件喷施外源Spd,通过提高小花内源Spd、Spm和Z+ZR含量,以及提高弱势小花(Z+ZR)/ABA的比值,降低Put含量,一方面加速弱势小花的发育,抑制小花退化。另一方面增加了可孕小花数,提高不同小穗位的结实粒数,从而提高结实率。因此水分亏缺条件下,小花发育时期喷施外源Spd,可提高小麦穗粒数,提高小麦籽粒产量。

参考文献:

[1] Qin X L, Zhang F X, Liu C, Yu H, Cao B G, Tian S Q, Liao Y C, Siddique K H M. Wheat yield improvements in China: Past trends and future directions[J]. Field Crops Research, 2015, 177: 117-124. doi: 10.1016/j.fcr.2015.03.013.

[2] 崔俊鹏, 赵慧, 张倩倩, 宫娜, 刘朦朦, 张萌娜, 侯玉竹, 刘成, 李林志, 周芳婷, 吴永振,孙晗, 赵春华, 崔法. 小麦穗粒数主效QTL-qKnps-4A遗传效应解析[J]. 分子植物育种, 2019, 17(11): 3632-3640. doi: 10.13271/j.mpb.017.003632.

Cui J P, Zhao H, Zhang Q Q, Gong N, Liu M M, Zhang M N, Hou Y Z, Liu C, Li L Z, Zhou F T, Wu Y Z, Sun H, Zhao C H, Cui F. Genetic effects analysis of major QTL-qKnps-4A for kernel per spike in common wheat[J]. Molecular Plant Breeding, 2019, 17(11): 3632-3640.

[3] 田纪春, 邓志英, 胡瑞波, 王延训. 不同类型超级小麦产量构成因素及籽粒产量的通径分析[J]. 作物学报, 2006,32(11):1699-1705. doi: 10.3321/j.issn:0496-3490.2006.11.017.

Tian J C, Deng Z Y, Hu R B, Wang Y X. Yield components of super wheat cultivars with different types and the path coefficient analysis on grain yield[J]. Acta Agronomica Sinica, 2006, 32(11): 1699-1705.

[4] Guo Z F, Slafer G A, Schnurbusch T. Genotypic variation in spike fertility traits and ovary size as determinants of floret and grain survival rate in wheat[J]. Journal of Experimental Botany, 2016, 67(14): 4221-4230. doi:10.1093/jxb/erw200.

[5] 李彦彬, 朱亚南, 李道西, 高阳. 阶段干旱及复水对小麦生长发育、光合和产量的影响[J].灌溉排水学报, 2018, 37(8): 76-82. doi: 10.13522/j.cnki.ggps.2017.0555.

Li Y B, Zhu Y N, Li D X, Gao Y. Effects of alternating drought and watering on growth, photosynthesis and yield of winter wheat[J]. Journal of Irrigation and Drainage, 2018, 37(8): 76-82.

[6] 徐建文, 居辉, 刘勤, 杨建莹. 黄淮海地区干旱变化特征及其对气候变化的响应[J]. 生态学报, 2014, 34(2): 460-470. doi: 10.5846/stxb201301240148.

Xu J W, Ju H, Liu Q, Yang J Y. Variation of drought and regional response to climate change in Huanghuaihai plain[J]. Acta Ecologica Sinica, 2014, 34(2): 460-470.

[7] 何昕楠, 林祥, 谷淑波, 王东. 微喷补灌对麦田土壤物理性状及冬小麦耗水和产量的影响[J].作物学报, 2019, 45(6): 879-892. doi: 10.3724/SP.J.1006.2019.81070.

He X N, Lin X, Gu S B, Wang D. Effects of supplemental irrigation with micro-sprinkling hoses on soil physical properties, water consumption and grain yield of winter wheat[J]. Acta Agronomica Sinica, 2019, 45(6): 879-892.

[8] 肖婷婷, 吕金印. 水分亏缺对小麦穗部维管束系统发育的影响[J]. 中国生态农业学报, 2010, 18(5): 977-981. doi: 10.3724/SP.J.1011.2010.00977.

Xiao T T, Lü J Y. Effect of water deficit on the development of vascular bundle system of wheat spike[J]. Chinese Journal of Eco-Agriculture, 2010, 18(5): 977-981.

[9] 田中伟, 王妮妮, 李怡香, 崔亚坤, 蔡剑, 姜东, 戴廷波.分蘖期和拔节期干旱对小麦主茎和分蘖穗粒形成的影响[J].麦类作物学报, 2018, 38(6): 734-741. doi: 10.7606/j.issn.1009-1041.2018.06.14.

Tian Z W, Wang N N, Li Y X, Cui Y K, Cai J, Jiang D, Dai T B. Effect of water deficit on main stem and tiller grain number formation of wheat during tillering stage and jointing stage[J]. Journal of Triticeae Crops, 2018, 36(6): 734-741.

[10] 祁有玲, 张富仓, 李开峰, 崔引娣. 不同生育期水分亏缺及氮营养对冬小麦生长和产量的影响[J]. 灌溉排水学报, 2009, 28(1):1672-3317. doi: 10.13522/j.cnki.ggps.2009.01.028.

Qi Y L, Zhang F C, Li K F, Cui Y D. Effects of water deficit and nitrogen nutrient at different growing stages on growth and yields of winter wheat[J]. Journal of Irrigation and Drainage, 2009, 28(1): 1672-3317.

[11] Hawkesford M J. Reducing the reliance on nitrogen fertilizer for wheat production[J]. Journal of Cereal Science, 2014, 59(3): 276-283. doi: 10.1016/j.jcs.2013.12.001.

[12] Alcazar R, Altabella T, Marco F, Bortolotti C, Reynond M, Koncz C, Carrasco P, Tiburcio A F. Polyamines: molecules with regulatory functions in plant abiotic stress tolerance[J]. Planta, 2010, 231(6): 1237-1249. doi: 10.1007/s00425-010-1130-0.

[13] 武维华. 植物生理学[M]. 2版.北京: 科学出版社, 2008.

Wu W H. Plant physiology[M]. 2nd.Beijing: Science Press, 2008.

[14] Biesaga-koscielniak J, Koscielniak J, Filek M, Marcinska I, Krekule J, Machackova I, Kubon M. The effect of plant growth regulators and their interaction with electric current on winter wheat development[J]. Acta Physiologiae Plantarum, 2010, 32(5): 987-995. doi: 10.1007/s11738-010-0488-8.

[15] 吕晓康,温晓霞,廖允成,刘杨.外源多胺对小麦小花退化的调控机制[J].作物学报, 2016, 42(9): 1391-1401. doi:10.3724/SP.J.1006.2016.01391.

Lü X K, Wen X X, Liao Y C, Liu Y. Effect of exogenous polyamines on mechanism of floret degeneration in wheat[J]. Acta Agronomica Sinica, 2016, 42(9): 1391-1401.

[16] 倪英丽. 小麦小花发育差异性的生理基础及栽培措施调控研究[D]. 泰安:山东农业大学, 2013.

Ni Y L. Differences in physiological basis of floret development and response to cultivation regulation in wheat[D]. Tai′an: Dissertation of Shandong Agricultural University, 2013.

[17] Zheng C F, Zhu Y J, Zhu H J, Kang G Z, Guo T C, Wang C Y. Floret development and grain setting characteristics in winter wheat in response to pre-anthesis applications of 6-benzylaminopurine and boron[J]. Field Crops Research, 2014, 169: 70-76. doi: 10.1016/j.fcr.2014.09.005.

[18] Gonzlez F G, Slafer G A, Miralles D J. Floret development and spike growth as affected by photoperiod during stem elongation in wheat[J]. Field Crops Research, 2003, 81(1): 29-38. doi: 10.1016/S0378-4290(02)00196-X.

[19] Cai K, Xiang Z M, Li H Q, Zhao H N, Lin Y C, Pan W J, Lei B. Free amino acids, biogenic amines, and ammonium profiling in tobacco from different geographical origins using microwave-assisted extraction followed by ultra high performance liquid chromatography[J]. Journal of Separation Science, 2017, 40(23): 4571-4582. doi: 10.1002/jssc.201700608.

[20] Liu H B, Li X H, Xiao J H, Wang S P. A convenient method for simultaneous quantification of multiple phytohormones and metabolites: application in study of rice-bacterium interaction[J]. Plant Methods, 2012, 8: 2. doi: 10.1186/1746-4811-8-2.

[21] Engelberth J, Schmelz E A, Alborn H T, Cardoza Y J, Huang J, Tumlinson J H. Simultaneous quantification of jasmonic acid and salicylic acid in plants by vapor-phase extraction and gas chromatography-chemical ionization-mass spectrometry[J]. Analytical Biochemistry, 2003, 312(2): 242-250. doi: 10.1016/S0003-2697(02)00466-9.

[22] 顾晶晶, 余慷, 陈树林, 朱保磊, 王冬至, 张爱民, 刘冬成, 詹克慧. 河南小麦品种穗粒数性状的动态变化及全基因组关联分析[J]. 分子植物育种, 2017, 15(10): 4143-4158. doi: 10.13271/j.mpb.015.004143.

Gu J J, Yu K, Chen S L, Zhu B L, Wang D Z, Zhang A M, Liu D C, Zhan K H. Dynamic variation and genome-wide association analysis of grain number related traits in Henan wheat[J]. Molecular Plant Breeding, 2017, 15(10): 4143-4158.

[23] Liu Y, Liang H Y, Lü X K, Liu D D, Wen X X, Liao Y C. Effect of polyamines on the grain filling of wheat under drought stress[J]. Plant Physiology and Biochemistry, 2016, 100: 113-129. doi: 10.1016/j.plaphy.2016.01.003.

[24] Gonzalez F G, Terrile I I, Falcon M O. Spike fertility and duration of stem elongation as promising traits to improve potential grain number (and yield): variation modern argentinean wheats[J].Crop Science, 2011, 51(4): 1693-1702. doi: 10.2135/cropsci2010.08.0447.

[25] Gonzalez V H, Lee E A, Lewis L L, Swanton C J. The relationship between floret number and plant dry matter accumulation varies with early season stress in maize (Zea mays L.)[J]. Field Crops Research, 2019, 238: 129-138. doi: 10.1016/j.fcr.2019.05.003.

[26] Zandalinas S I, Balfagon D, Arbona V, Gomez-cadenas A, Inupakutika M A, Mittler R. ABA is required for the accumulation of APX1 and MBF1c during a combination of water defcit and heat stress[J]. Journal of Experimental Botany, 2016, 67(18): 5381-5390. doi: 10.1093/jxb/erw299.

[27] Huang Y M, Zeng X C, Cao H P. Hormonal regulation of floret closure of rice (Oryza sativa)[J]. PLoS One,2018,13(6): e0198828. doi: 10.1371/journal.pone.0198828.

[28] Gampos-Rivero G, Osorio-Montalvo P, Sanchez-Borges R, Us-Camas R, Duarte-Ake F, De-la-Pena C. Plant hormone signaling in flowering: An epigenetic point of view[J]. Journal of Plant Physiology, 2017, 214: 16-27. doi: 10.1016/j.jplph.2017.03.018.

[29] Li S N, Song M, Duan J Z, Yang J H, Zhu Y J, Zhou S M. Regulation of spraying 6-BA in the late jointing stage on the fertile floret development and grain setting in winter wheat[J]. Agronomy, 2019, 9(9): 546. dio: 10.3390/agronomy9090546.

[30] 王夏雯, 王绍华, 李刚华, 王强盛, 刘正辉, 余翔, 丁艳锋. 氮素穗肥对水稻幼穗细胞分裂素和生长素浓度的影响及其与颖花发育的关系[J]. 作物学报, 2008, 34(12): 2184-2189. doi: 10.3724/SP.J.1006.2008.02184.

Wang X W, Wang S H, Li G H, Wang Q S, Liu Z H, Yu X, Ding Y F. Effect of panicle nitrogen fertilizer on concentrations of cytokinin and auxin in young panicles of japonica rice and its relation with spikelet development[J]. Acta Agronomica Sinica, 2008, 34(12): 2184-2189.

[31] Yang W B, Yin Y P, Li Y, Cai T, Ni Y L, Peng D L, Wang Z L. Interactions between polyamines and ethylene during grain filling in wheat grown under water deficit conditions[J]. Plant Growth Regulation, 2014, 72(2):189-201. doi: 10.1007/s10725-013-9851-2.

[32] 李秀, 巩彪, 徐坤. 外源亚精胺对高温胁迫下生姜叶片内源激素及叶绿体超微结构的影响[J]. 中国农业科学, 2015, 48(1): 120-129. doi: 10.3864/j.issn.0578-1752.2015.01.12.

Li X, Gong B, Xu K. Effect of exogenous spermidine on levels of endogenous hormones and chloroplast ultrastructure of ginger leaves under heat stress[J]. Scientia Agricultura Sinica, 2015, 48(1): 120-129.

[33] 王兆龙, 曹卫星, 戴廷波. 小麦小花两极分化中内源植物激素与糖氮含量的变化特征[J].作物学报, 2001,27(4): 447-452. doi: 10.3321/j.issn:0496-3490.2001.04.007.

Wang Z L, Cao W X, Dai T B. Changes of endogenous plant hormones and soluble sugars and proteins during floret development and degeneration in wheat[J]. Acta Agronomica Sinica, 2001,27(4): 447-452.

Effects of Exogenous Spermidine on Floret Development and Grain Setting Characteristics of Winter Wheat under Water Deficit

KONG Xiang, ZHANG Xin, HUANG Cui, LUO Yongli, LI Yong, JIN Min

(Agricultural College, Shandong Agricultural University, State Key Laboratory of Crop Biology,Tai′an 271018, China)

Abstract In order to explore the effects of exogenous Spermidine (Spd) on dynamics of floret development, grain setting characteristic, endogenous hormones content and grain yield under water deficit. Winter wheat (Taikemai 33) was sown in the filed under normal irrigation (the relative water content is 75%-80% of the field moisture capacity) and water deficit (the relative water content is 50%-60% of the field moisture capacity). The results showed that the application of exogenous Spd had no significant effect on the development of strong florets under water deficit, but significantly accelerated the development of weak florets. Spraying Spd under normal irrigation condition significantly increased the number of fertile florets (FF), grain number (GN) and grain setting (GS) at the base of wheat ears. Spraying Spd under normal irrigation and water deficit conditions increased grain number at 1, 2, 3, and 4 flower positions, which increased by 4.6%, 9.1%, 21.8%, 57.1%, and 0.7%, 1.4%, 4.1%, 31.5%, respectively. At the same time, the content of endogenous Z+ZR in weak florets was significantly increased. Z+ZR of strong florets was significantly higher than that of weak florets 2-6 d before flowering. The ABA content of strong florets and weak florets in water deficit treatment was higher than other treatments. From the 14th day before flowering to the flowering stage, the contents of Spd, Spm and Put in wheat florets showed a significant downward trend. Spraying Spd under normal irrigation and water deficit conditions increased endogenous Spd and Spm in florets, and decreased Put content. Grain yield increased significantly by 2.01% and 20.83%, respectively. In summary, exogenous Spd accelerates the development of inferior floret and inhibites the degradation of inferior florets due to increasing inferior floret Spd, Spm, Z+ZR content and ratio of (Z+ZR)/ABA under water deficit. Grain yield has significantly increased due to improving and number of grains.

Key words: Water deficit; Floret development; Grain setting characteristic; Spermidine

中图分类号:S512.01

文献标识码:A

文章编号:1000-7091(2019)增刊-0049-10

doi:10.7668/hbnxb.201751727

收稿日期:2019-01-08

基金项目:国家重点研发计划(2016YFD0300400;2017YFD0301001);山东省泰山产业领军人才工程高效生态农业创新类;国家重点基础研究发展计划(“973”计划)项目(2015CB150404);山东省重大应用技术创新项目(2014GJJS0201-5-2)

作者简介:孔 祥(1994-),男,甘肃张掖人,在读硕士,主要从事小麦高产优质生理生态研究。

通讯作者:金 敏(1982-),女,山东济南人,实验师,硕士,主要从事小麦高产优质生理生态研究。