不同氮素营养水平对茶树根际土壤微生物的影响及其在养分调控中的作用

李金婷1,黄少欣2,韦持章1,农玉琴1,陈远权1,廖春文1,覃潇敏1,2

(1.广西南亚热带农业科学研究所,广西 龙州 532405;2.云南农业大学 资源与环境学院,云南 昆明 650201)

摘要:为茶园氮肥的科学施用提供理论依据,通过盆栽试验探讨4个不同氮素营养水平(N0、N1、N2、N3) 下茶树根际土壤养分、微生物种群组成的变化以及二者的内在联系。结果表明:与不施氮(N0)处理相比,适宜施用氮肥可以增加茶树根际土壤的细菌、放线菌、真菌数量以及微生物总量,促进了土壤微生物群落多样性的改善;亦提高了茶树根际土壤碱解氮、速效磷、速效钾及有机质含量,并且均在N1或者N2处理时达到最大值。相关分析结果显示,不同氮素水平下茶树土壤微生物数量与土壤各养分含量之间存在着极显著的相关关系。合理施用氮肥对于茶园土壤微生物数量及其群落中细菌、放线菌及真菌数量与土壤中有效态养分含量具有良好的调节作用。

关键词:茶树;氮素营养;根际;土壤养分;土壤微生物

茶树(Camellia sinensis L.)是源于中国西南部亚热带的常绿阔叶灌木,具有喜漫射光、喜湿、喜酸性土、耐荫和畏寒等特性,是一类喜氮的多年生叶用经济作物。氮素几乎参与了茶树生育过程中的每一个阶段,不仅是茶树正常生长发育的重要基础物质,亦是茶叶中蛋白质、氨基酸以及生物碱等有机含氮活性物质的组成成分[1-2]。研究表明,合理施用氮肥能促进茶树生长,显著提高茶叶产量并改善其品质,提高茶叶叶绿素的含量及光合速率等[3-6];反之,过量施氮则降低了茶树抵抗病虫害的能力、加剧了土壤污染及酸化等,造成茶叶产质量下降[7-9],严重影响了茶叶产业的可持续发展。

土壤微生物是土壤系统中最为活跃的因子,参与了土壤中物质转化和养分循环,是构成土壤肥力的重要因素,对土壤肥力的作用举足轻重[10-11];同时它对土壤矿物的分解具有重要的作用,并在土壤团粒结构的形成与稳定方面发挥着决定性的作用,能够改善土壤的结构,从而促进了植物的生长[12-13]。此外,土壤系统中微生物的数量繁多、群落组成复杂,能直接影响土壤的生物化学活性以及养分的组成、转化,其数量与活性是土壤肥力状况衡量的重要指标之一[14-15]。目前,关于氮素营养水平对茶树土壤微生物区系的影响及其在养分调控中的作用方面的研究较少。为此,本研究通过盆栽试验,探讨不同氮素营养条件下茶树根际土壤微生物种群结构和土壤养分的变化趋势以及二者之间的内在关联,旨在通过调整合理的施氮量来改善茶园土壤养分的利用,调节土壤微生物区系,为茶叶生产上科学施用氮肥提供理论依据。

1 材料和方法

1.1 试验地点

试验于2016 年10月,在广西南亚热带农业科学研究所的温室大棚布置实施,该区属于典型的南亚热带季风气候,地理坐标为(22°21′N, 106°46′E),海拔125 m 左右,年平均温度22 ℃以上,年降雨量1 273.6 mm 以上。供试土壤是适宜茶树生长发育的酸性红壤土,其土壤理化性状:碱解氮1 10.5 mg/kg,速效磷12.2 mg/kg,速效钾125.5 mg/kg,有机质13.14 g/kg,pH值4.99。

供试品种:茶树品种(Camellia sinensis L.wuniuzao):2年生的标准乌牛早茶苗;大豆品种(Glycine max (Linn.) Merr. lixiang M-7):理想M-7。

供试肥料:尿素(46% N)、普通过磷酸钙(14% P2O5)、硫酸钾(50% K2O)。

1.2 试验设计

盆栽试验采取单因子试验设计,设4个不同施氮量(N0-0 g/kg、N1-0.25 g/kg、N2-0.5 g/kg、N3-0.75 g/kg),每个处理设3次重复,随机摆放。单作处理每盆种植4株茶苗或者大豆,间作处理茶苗与大豆各种植2株。采用相同规格的塑料花盆(400 mm×280 mm),每盆装16 kg土壤,肥料施用量按照氮0.5 g/kg 干土的纯养分来换算,其中N∶P2O5∶K2O=1∶1∶1。整个生育期氮肥分3次施入,其中40%为基肥,在春茶期与夏茶期结束后各追肥30%,P肥和K 肥作为基肥一次施入。整个生育期按生产茶园习惯进行常规管理,不喷施农药、杀虫剂以及杀菌剂,并且定期地调换塑料盆的位置。

1.3 土壤样品的采集

于2017年4月5日(春茶期)、6月15日(夏茶期)及8月20日(秋茶期)采集样品,先将茶苗从土壤中整株挖出,接着抖掉与根系松散结合的土壤,最后把与根系紧密结合的土壤刷下来作为根际土样品。每个处理的土壤样品分为两半,一半土壤自然风干后过1 mm筛子,用于土壤养分的测定,另一半土壤过2 mm 筛后于4 ℃冰箱保存,用于土壤微生物数量的测定。

1.4 测定方法

1.4.1 采用平板稀释法测定土壤微生物数量 细菌:牛肉膏蛋白胨琼脂培养基;真菌:马丁孟加拉红琼脂培养基;放线菌:改良高氏一号琼脂培养基。将土壤悬浮液按倍数(细菌10-5、放线菌10-4、真菌10-2)稀释涂平板后置于28 ℃的恒温培养箱中培养(细菌2~3 d、放线菌 5~7 d、真菌 3~4 d)后计数[16-17]

选取目前应用最广泛的Shannon-Wiener指数(H)、Simpson指数(D)和Shannon均匀度指数(E) 3种群落多样性指数作为研究群落物种数及其个体数和分布均匀程度的综合指标[17-18]

Shannon-Wiener多样性指数:H=Σ (ni/N) ln (ni/N)

Simpson多样性指数:D=1-∑ni (ni-1)/N(N-1)

Shannon均匀度指数:E=[Σ (ni/N) ln (ni/N)]/lnS

式中,ni 为第i个物种的个体数;N为微生物群落中所有的物种的个体数;S为物种总数。

1.4.2 土壤养分测定[19] 有机质,用K2Cr2O7容量法-外加热法;碱解氮,用碱解扩散法;速效磷,用0.5 mol/L NaHCO3溶液浸提-钼锑抗比色法;速效钾,用火焰光度法;pH,用电极电位法(2.5∶1.0水土比浸提液)。

1.5 数据分析

利用Microsoft Excel 2016对原始数据进行初步整理、作柱状图以简单分析,然后用SPSS 20.0软件分对整理后的数据进行LSD进行多重比较(显著水平设置P<0.05)和单因素方差分析(One-way ANOVA),和Pearson相关系数检验土壤养分及微生物量与土壤理化性质之间的相关性,研究中数据表示为平均值±标准差。

2 结果与分析

2.1 氮素水平对茶树根际养分、pH值变化的影响

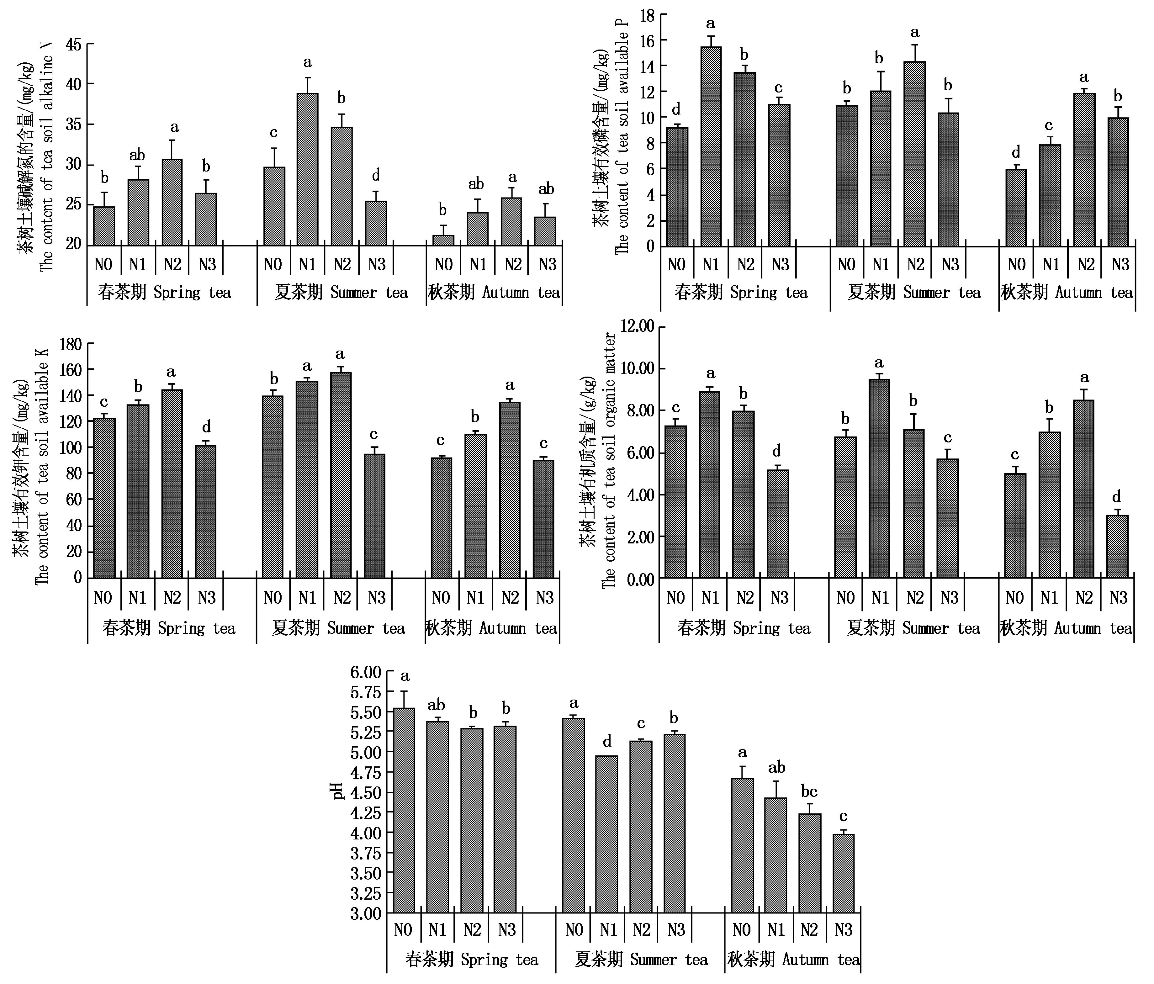
由图1可见,茶树根际土壤碱解氮、有效钾含量随茶叶采摘时期推进呈先上升后下降的变化趋势,各在夏茶期的含量最高,秋茶期的含量最低。在同一茶叶采摘时期,茶树根际土壤碱解氮、有效钾含量的变化趋势表现为随施氮量的增加而也呈先增加后降低的趋势。此外,从春茶期-夏茶期-秋茶期, N1、N2、N3处理的茶树根际土壤碱解氮含量较对照(N0)处理分别提高了12.88%~30.61%,6.91%~21.49%和-14.30%~10.72%,其中N2处理均与对照差异达到显著水平(P<0.05);同时N1、N2处理的茶树根际土壤有效钾含量亦分别比对照(N0)显著增加了8.08%~19.92%和13.17%~46.49%,而N3处理土壤有效钾含量显著低于N0处理(除秋茶期外)。可见,合理施用氮肥有利于提高茶树土壤碱解氮、有效钾的含量,改善了土壤的肥力。

茶树根际土壤的有效磷与有机质含量与有效钾、碱解氮含量的变化趋势不一致,从春茶期~秋茶期,茶树土壤有效磷、有机质含量呈下降趋势,在春茶期含量最高。在同一茶叶采摘时期,茶树根际土壤有效磷、有机质含量的变化趋势则表现为随施氮量的增加而呈先增加后降低的趋势,且均在N1或N2处理的含量最高。此外,在3个茶叶采摘期, N1、N2处理的茶树根际土壤有效磷含量较对照(N0)处理分别提高了68.63%,10.58%,32.99%和46.99%,31.46%,100.34%,其中春茶期和秋茶期的N1、N2处理均与对照差异达到显著水平(P<0.05);同时N1、N2处理的茶树根际土壤有机质含量亦分别比对照(N0)显著增加了22.59%,40.24%,38.52%和9.37%,4.88%,69.06%,且在春茶期和秋茶期差异均达显著水平,而N3处理的根际有机质含量显著低于N0处理。上述研究发现说明,合理的氮肥施用量有利于提高茶树土壤有效磷、有机质的含量。

不同的字母表示同一采茶期不同施氮水平之间的差异显著 (P<0.05)。图2同。
Different small letters indicated significant difference among different nitrogen treatments at the same stage at 0.05 levels.The same as Fig.2.

图1 不同施氮处理下土壤养分随时间的变化
Fig.1 The variation of soil nutrients with growing time under different N application rates

茶树是一类喜酸性土壤的叶用作物,其生长的适宜土壤pH值在4.00~6.00左右。土壤pH值的变化对土壤养分的有效性、吸收、利用以及微生物的种类和数量会有直接的影响,进而影响到茶叶的产量和品质。在本研究中,茶树根际土壤pH随着施氮量的增加呈下降的变化趋势,其中在夏茶期pH显著下降,春茶期和秋茶期的N2、N3处理亦显著降低;此外,茶树根际土壤pH以春茶期pH表现最高,秋茶期最低。可知,氮肥的使用能显著降低土壤的pH值起着明显酸化茶园土壤的作用。

2.2 氮素水平对茶树根际土壤微生物种群数量变化的影响

土壤中微生物的数量分布不仅能够敏感地反映出土壤质量的变化,具体体现出土壤的生物活性,是评价土壤肥力的重要指标之一。由图2可以看出,从春茶期-夏茶期-秋茶期,随着茶叶采摘时期的推进,茶树根际土壤细菌、放线菌数量均随着氮肥施用量的增加而先增加后降低,其中细菌在春茶期和夏茶期时在N2处理数量达到最大,而秋茶期则在N1处理时数量最多;放线菌数量在夏茶期和秋茶期时在N2水平下达到顶峰,而春茶期则在N1处理时数量最大。与对照(N0)处理相比,N1、N2、N3处理的茶树根际细菌数量分别提高了26.15%~38.31%,16.11%~65.21%和-5.16%~6.37%;同时N1、N2、N3处理的茶树根际放线菌数量亦分别比对照(N0)增加了27.79%~137.09%,34.79%~53.57%和11.01%~23.53%,其中N1、N2处理均与对照差异达到显著水平(P<0.05)。此外,在3个茶叶采摘期,茶树根际土壤真菌数量均随着氮肥施用量的增加而呈递增的趋势,其中N1、N2、N3处理的茶树根际真菌数量分别比对照(N0)提高了8.55%~22.10%,23.55%~43.69%和7.55%~9.07% ,并且N2、N3处理均与对照差异达到显著水平(P<0.05)。上述试验结果发现,氮肥的适量施用能够增加了茶树根际土壤细菌、放线菌以及真菌数量,有效改善茶树根际微生物群落的种群结构比例。

生物多样性指数是反映生物类型和均匀度的一个度量指标,在一定程度上可以反映生物群落中的物种丰富度及各类型的分布比例[20]。由表1可知,合理施氮肥能显著增加茶树根际土壤微生物总量,改变了茶树根际的微生物多样性指数,且在秋茶期均高于对照(N0)处理。在春茶期,N1处理茶树根际微生物群落的Shannon-Wiener多样性指数(H)、Simpson多样性指数(D)、Shannon均匀度指数(E)分别比对照(N0)处理显著提高了48.68%,67.24%和48.79%;秋茶期的N2、N3处理的各微生物多样性指数亦较对照(N0)处理分别显著增加了21.08%,27.19%,21.18% 和20.63%,26.32%,20.69%。上述结果表明,适宜的氮肥用量对茶树根际微生物群落多样性有一定的改善作用。

图2 不同施氮处理下土壤微生物量随时间的变化
Fig.2 Population variation of soil microorganism with growing time under different N application rates

表1 不同施氮处理下土壤群落多样性随时间的变化
Tab.1 Population variation of soil microbial community diversity with growing time under different N application rates

时期Stages处理Treatments微生物总量/(×106 cfu/g)Total microbesShannon-Wiener多样性指数(H) Shannon-Wiener diversity index(H)Simpson多样性指数(D) Simpson diversity index(D)Shannon均匀度指数(E) Shannon evenness index(E)春茶N025.20±1.67c0.228±0.020bc0.116±0.013bc0.207±0.018bcSpring teaN133.43±1.68b0.339±0.017a0.194±0.013a0.308±0.015aN241.14±2.01a0.197±0.022c0.096±0.014c0.179±0.020cN326.89±1.38c0.236±0.005b0.120±0.003b0.215±0.004b夏茶N028.20±0.84c0.233±0.017a0.119±0.011a0.212±0.015aSummer teaN138.75±1.75b0.216±0.022a0.107±0.014a0.197±0.020aN246.34±2.93a0.219±0.013a0.109±0.008a0.199±0.012aN329.98±2.27c0.244±0.004a0.125±0.003a0.222±0.004a秋茶N021.80±0.54c0.223±0.017b0.114±0.011b0.203±0.015bAutumn teaN129.17±1.76a0.227±0.003b0.115±0.002b0.207±0.003bN225.79±2.46b0.270±0.031a0.145±0.022a0.246±0.028aN321.05±1.05c0.269±0.003a0.144±0.002a0.245±0.002a

注:不同小写字母表示同一采茶期不同施氮处理之间的显著差异 (P<0.05)。

Note: Different small letters indicated significant difference among different nitrogen treatments at the same stage at 0.05 levels.

2.3 氮素营养水平下茶树根际微生物数量与养分的相关性

土壤微生物是维持土壤质量的主要因素之一,其数量的多少在一定程度上能够反映出土壤的肥力水平。不同施氮处理茶树的土壤微生物与土壤养分的相关性分析结果表明(表 2),土壤细菌、放线菌数量、微生物总量与土壤碱解氮、速效磷、速效钾及有机质的含量均呈极显著正相关,其中细菌数量、微生物总量与pH之间也呈显著正相关性;而真菌数量与有机质含量呈显著的负相关关系,却与土壤碱解氮、速效钾、速效磷的含量及pH之间的相关关系不明显。总之,在不同施氮处理下,土壤细菌、放线菌及真菌数量的变化与土壤养分含量的提高有密切关系,因此土壤微生物数量可作为评价土壤肥力的重要指标之一。

表2 土壤微生物数量与土壤养分含量之间的相关系数
Tab.2 Correlative coefficients between soil microbial amounts and soil nutrient contents

因子 Factors碱解氮Alkaline N速效磷Available P速效钾Available K有机质Organic matterpH细菌Bacteria0.798∗∗0.639∗∗0.759∗∗0.533∗∗0.380∗放线菌Actinomycetes0.475∗∗0.812∗∗0.540∗∗0.546∗∗0.288真菌Fungi0.0620.093-0.302-0.423∗-0.151微生物总量 Total microbes0.800∗∗0.674∗∗0.768∗∗0.552∗∗0.385∗

注:*.P<0.05水平显著相关, **.P<0.01水平显著相关(n=36)。

Note: * and ** indicated significant difference at 0.05 and 0.01 levels, respectively.

2.4 不同施氮水平茶树土壤各指标的主成分分析

大量研究表明,主成分分析法(PCA)是土壤评价中应用最为广泛的数理统计方法,进一步对不同施氮量处理下的土壤综合肥力进行评价,通过对春茶期测定的微生物数量、土壤养分共9个指标进行PCA分析。从表3分析结果可以知道,第一主成分(PC1)的方差贡献率最大,百分比为56.091%,特征值为5.048,对土壤肥力综合评价起主要作用,第二主成分的方差贡献率为25.469%,特征值为2.292,第三主成分的方差贡献率为12.326%,特征值为1.109。3个主成分的累积方差贡献率分别达到了93.886%,基本包含了主要土壤肥力信息。土壤细菌数量、微生物总数、碱解氮含量、速效磷含量、速效钾含量及有机质含量对第一主成分影响较大;真菌数量、碱解氮含量、有机质含量及pH对第二主成分影响较大;放线菌数量、速效磷及速效钾含量对第三主成分影响较大。

将其转换成规格化特征向量,可以得到反映土壤肥力水平的3个主成分表达式:

F1=0.390x1+0.288x2-0.179x3+0.412x4+0.357x5+0.368x6+0.383x7+0.348x8-0.180x9

F2=-0.221x1+0.194x2-0.550x3-0.188x4-0.312x5-0.005x6+0.212x7+0.392x8+0.531x9

F3=-0.283x1+0.657x2+0.264x3-0.187x4-0.145x5+0.491x6-0.318x7+0.043x8-0.136x9

式中x1x2x3x4x5x6x7x8x9分别代表细菌数量、放线菌数量、真菌数量、微生物总量、碱解N、速效P、速效K、有机质、pH。

前面3个成分的累积方差贡献率达到了93.886%,说明利用前3个成分来评价不同施氮量处理的茶树土壤肥力状况是可行的。因此,将9个指标分别带入特征向量主成分表达式计算各主成分得分(表4)。结果显示,施氮后土壤肥力水平发生改变,在试验中的4个施氮量中,N1处理的土壤肥力综合得分最高,N2处理次之,N0处理第三,N3处理第四。由此说明,合理施用氮肥可以有效提高茶树土壤肥力水平,反之则降低了土壤肥力水平。

表3 总方差解释表
Tab.3 Table of total variance

时期Stage成分Components初始特征值Initial eigenvalue合计Total方差百分数/% Variance percentage累积百分数/%Cumulative percentage春茶期15.04856.09156.091Spring tea22.29225.46981.56031.10912.32693.886

表4 茶园土壤状况评价
Tab.4 Evaluation of soil status in tea plantation

处理Treatments第1主成分F1第2主成分F2第3主成分F3综合得分FIntegrated scores综合排名Integrated rankingsN0-1.9061.557-0.866-0.7793N11.7870.9661.3061.4091N22.415-0.843-1.0401.0122N3-2.295-1.6800.599-1.6414

3 讨论与结论

土壤微生物是土壤有机物质转化的执行者,促进了养分的循环和生物有效性,同时其代谢产物也为植物提供营养成分,并受到肥料用量(或种类)、施肥方式、种植模式及土壤类型等一系列因素的综合影响[21-24]。湛方栋等[25]研究结果发现,土壤细菌、放线菌以及真菌数量均在一定的范围内随着施氮水平的增加而增加,在施氮量为60 kg/hm2的微生物数量最大;马冬云等[26]研究结果亦报道施用氮肥能够有效地调节根际微生物区系,小麦根际微生物总量、细菌、放线菌、真菌数量随着尿素施用量的增加呈先增加后下降的趋势。本研究表明,茶树土壤细菌、放线菌数量及微生物总量均随着施氮水平的增加而先增加后降低,以N1或N2处理有利于保持较高的土壤细菌、放线菌数量,这与前人的研究结果一致。这可能是由于适宜的氮素营养一方面可以为土壤微生物提供了充足的养分,另一方面可以促进茶树生长和根系活动增强而使得根系分泌物增加,为微生物的繁殖生存提供了丰富的碳源,优化了土壤微生物类群的数量;而当氮素营养过高时,使得土壤中的碳源相对不足,进而造成土壤微生物的活性降低。本试验条件下,施用氮肥能够显著促茶树根际土壤真菌的数量,随着施氮水平的增加而递增,这主要可能是由于茶树品种、气候类型、土壤养分存在差异以及氮肥用量所导致的。

土壤营养成分的丰富程度反映了土壤质量的健康状况,影响着整个土壤生态系统的物流及能量的循环,并主导着有机物质的分解与转化,是土壤肥力的重要因素之一。符鲜等[27]研究结果发现,小麦土壤有机质、碱解氮、速效磷含量都在一定范围内随着施氮水平的提高而随之增加,反之施氮水平过高时,则对土壤养分有效性产生一定的抑制作用,以N2水平的含量最大;霍利霞等[28]研究亦报道了,荒漠草原土壤有机质、全氮、硝态氮、铵态氮以及微生物量氮含量随施氮水平的增加而呈递增,而微生物量碳含量则先增加后降低。本研究表明,随着施氮量的增加,在茶树土壤微生物数量和多样性增加的同时,茶树土壤碱解氮、速效磷、速效钾以及有机质的含量在一定范围内也随之增加,而当施氮水平过高(N3处理)时,则对土壤养分的增加产生一定的抑制作用,在N1或者N2处理时茶树土壤养分达到最大值,这说明适宜的增加施氮量能够有效增加茶树土壤中的养分含量,改善茶树的土壤肥力。

土壤微生物是土壤中养分转化的最关键的因素之一,而土壤养分又为土壤微生物繁殖生存提供物质基础,故其成分的丰富程度决定了微生物的类群、数量及比例的消长[29]。在不同氮素营养条件下,小麦土壤有机质、碱解氮、速效磷与细菌、真菌和放线菌之间均存在极显著正相关关系[27];玉米根际土壤真菌、放线菌数量与土壤养分之间存在显著的相关关系[21]。在本试验中,在不同氮素供应水平下,茶树根际土壤微生物类群和数量与土壤各养分之间均存在着非常紧密的相关性。其中,土壤细菌、放线菌数量、微生物总量与土壤碱解氮、速效磷、速效钾及有机质的含量均呈极显著正相关,其中细菌数量、微生物总量与pH之间也呈显著正相关性;而真菌数量与有机质含量呈显著的负相关关系。这可能是由于氮肥施用后显著增加了茶树根际细菌、放线菌以及真菌的数量,调节了微生物种群的比例,可能提高了土壤有机养分转化成无机有效养分的效率,因而能有效地增加土壤的有效养分含量。由此可见,土壤微生物与土壤大部分理化性状关系密切,对土壤养分的运转具非常有重要的作用。

各氮素处理茶树根际微生物类群、养分各指标的主成分分析结果发现,土壤的养分、微生物类群及土壤酸碱性是影响茶园土壤状况的3个主要因素。不同氮素供应处理的茶树土壤质量的综合评价结果表明,N1处理的茶树土壤的综合得分最高,依次为N2、N0、N3处理,表明减施氮肥在一定程度上可以增加茶树土壤有机质含量和营养成分,改善茶树土壤肥力,维持较高的土壤生态。

本试验中,与不施氮肥(N0)处理相比,施用适宜的氮肥可以提高茶树根际土壤细菌、真菌、放线菌数量,优化根际微生物群落的种群比例,进而改善群落的多样性;亦能增加茶树根际碱解氮、速效磷、速效钾与有机质的含量,并且均在N1或N2处理具有较高的促进效应。相关性分析结果也表明,茶树根际微生物数量与部分养分指标之间存在着显著的相关联系,表明土壤养分的变化与微生物各类群数量的多少之间存在紧密的联系。因此,在茶园中合理科学施用氮肥,有利于维持良好健康的茶园土壤生态环境,有利于促进茶园的可持续发展。

参考文献:

[1] Kovácˇik J, Bacˇkor M. Changes of phenolic metabolism and oxidative status in nitrogen-deficient Matricaria chamomilla plants[J]. Plant and Soil, 2007, 297(1-2): 255-265. doi: 10.1007/s11104-007-9346-x.

[2] Kovácˇik J, Klejdus B. Induction of phenolic metabolites and physiological changes in chamomile plants in relation to nitrogen nutrition[J]. Food Chemistry, 2014, 142: 334-341. doi: 10.1016/j.foodchem.2013.07.074.

[3] 苏有健,廖万有, 丁勇,王宏树, 夏先江. 不同氮营养水平对茶叶产量和品质的影响[J]. 植物营养与肥料学报, 2011, 17(6):1430-1436. doi:10.11674/zwyf.2011.0538.

Su Y J, Liao W Y, Ding Y, Wang H S, Xia X J. Effects of nitrogen fertilization on yield and quality of tea[J].Jurnal of Plant Nutrition and Fertilizers, 2011, 17(6):1430-1436.

[4] 游小妹, 陈常颂, 钟秋生, 陈志辉,林郑和,张文锦. 不同用氮量水平对乌龙茶产量、品质的影响[J]. 福建农业学报, 2012, 27(8): 853-856. doi: 10.3969/j.issn.1008-0384.2012.08.014.

You X M, Chen C S, Zhong Q S, Chen Z H, Lin Z H, Zhang W J. Preliminary study on effects of nitrogen fertilization on yield and quality of oolong tea[J]. Fujian Journal of Agricultural Sciences, 2012, 27(8): 853-856.

[5] 吴志丹, 尤志明, 王峰, 江福英, 朱留刚. 施氮量对茶树生长及叶片光合特性的影响[J]. 茶叶科学技术, 2014(4): 16-20. doi: 10.3969/j.issn.1007-4872.2014.04.004.

Wu Z D, You Z M, Wang F, Jiang F Y, Zhu L G. Effect of nitrogen application rate on the growth and leaf photosynthetic characteristics of tea[J]. Tea Science and Technology, 2014(4): 16-20.

[6] 颜明娟, 林琼, 吴一群, 张辉, 蔡顺香, 陈子聪. 不同施氮措施对茶叶品质及茶园土壤环境的影响[J]. 生态环境学报, 2014, 23(3): 452-456. doi: 10.3969/j.issn.1674-5906.2014.03.013.

Yan M J, Lin Q, Wu Y Q, Zhang H, Cai S X, Chen Z C. Effects of different nitrogen fertilization treatments on soil condition of tea garden and tea quality[J]. Ecology and Environmental Sciences, 2014, 23(3): 452-456.

[7] Okano K, Chutani K, Matsuo K. Suitable level of nitrogen fertilizer for tea (Camellia sinensis L.) plants in relation to growth, photosynthesis, nitrogen uptake and accumulation of free amino acids[J]. Japanese Journal of Crop Science, 1997, 66(2):279-287. doi:10.1626/jcs.66.279.

[8] Ruan J, Haerdter R, Gerendas J. Impact of nitrogen supply on carbon/nitrogen allocation: a case study on amino acids and catechins in green tea[Camellia sinensis (L.) O. Kuntze]plants[J]. Plant Biology, 2010, 12(5): 724-734. doi:10.1111/j.1438-8677.2009.00288.x.

[9] 马立锋, 陈红金, 单英杰, 姜铭北, 张耿苗, 吴林土, 阮建云, 吕健飞, 石元值, 潘理勋, 黄承沐, 刘林敏, 梁碧元, 王美琴, 潘建清. 浙江省绿茶主产区茶园施肥现状及建议[J]. 茶叶科学, 2013, 33(1): 74-84. doi: 10.13305/j.cnki.jts.2013.01.010.

Ma L F, Chen H J, Shan Y J, Jiang M B, Zhang G M, Wu L T, Ruan J Y, Lü J F, Shi Y Z, Pan L X, Huang C M, Liu L M, Liang B Y, Wang M Q, Pan J Q. Status and suggestions of tea garden fertilization on main green Tea-production Counties Zhejiang Province[J].Journal of tea Science,2013,33(1):74-84.

[10] Bending G D, Turner M K, Rayns F, Marx M C, Wood M.Microbial and biochemical soil quality indicators and their potential for differentiating areas under contrasting agricultural management regimes[J]. Soil Biology and Biochemistry, 2004, 36(11): 1785-1792.doi: 10.1016/j.soilbio.2004.04.035.

[11] 杨桂生, 宋长春, 万忠梅, 宋艳宇. 三江平原小叶章湿地剖面土壤微生物活性特征[J]. 环境科学学报, 2010, 30(8): 1715-1721. doi: 10.13671/j.hjkxxb.2010.08.027.

Yang G S, Song C C, Wan Z M, Song Y Y. Microbial activity in soils of Calamagrostis angustifolia wetlands in the Sanjiang Plain[J]. Acta Scientiae Circumstantiae, 2010, 30(8): 1715-1721.

[12] Abbott L K, Murphy D V. Soil biological fertility[M]. Netherlands: Kluwer Academic Publishers, 2003.

[13] 李秀英, 赵秉强, 李絮华, 李燕婷, 孙瑞莲, 朱鲁生, 徐晶, 王丽霞, 李小平, 张夫道. 不同施肥制度对土壤微生物的影响及其与土壤肥力的关系[J]. 中国农业科学, 2005, 38(8): 1591-1599. doi: 10.3321/j. issn: 0578-1752.2005.08.014.

Li X Y, Zhao B Q, Li X H, Li Y T, Sun R L, Zhu L S, Xu J, Wang L X, Li X P, Zhang F D. Effects of different fertilization systems on soil microbe and its relation to soil fertility.[J]. Scientia Agricultura Sinica, 2005, 38(8): 1591-1599.

[14] 王继红, 刘景双, 于君宝, 王金达. 氮磷肥对黑土玉米农田生态系统土壤微生物量碳、氮的影响[J]. 水土保持学报, 2004, 18(1): 35-38. doi:10.3321/j.issn:1009-2242.2004.01.009.

Wang J H, Liu J S, Yu J B, Wang J D. Effect of fertilizing N and P on soil microbial biomass carbon and nitrogen of black soil corn agroecosystem[J]. Journal of Soil and Water Conservation, 2004, 18(1): 35-38.

[15] 杨桂生, 宋长春, 宋艳宇, 侯翠翠. 三江平原小叶章湿地剖面土壤微生物活性特征[J]. 生态学报, 2010, 30(22): 6146-6153.

Yang G S, Song C C, Song Y Y, Hou C C. Characteristics of microbial activities in soil profiles of Calamagrostis angustifolia wetlands in Sanjiang Plain[J]. Acta Ecologica Sinica, 2010, 30(22): 6146-6153.

[16] 李振高, 骆永明, 滕应. 土壤与环境微生物研究法[M]. 北京:科学出版社, 2008.

Li Z G, Luo Y M, Teng Y. Soil and environmental microbiology research methods[M]. Beijing: Science Press, 2008.

[17] 姚槐应, 黄昌勇. 土壤微生物生态学及其试验技术[M]. 北京:科学出版社, 2006.

Yao H Y, Huang C Y. Soil microbial ecology and its experimental techniques[M]. Beijing: Science Press, 2006.

[18] 马克平. 生物群落多样性的测度方法.Ⅰ.α多样性的测度方法(上)[J]. 生物多样性, 1994, 2(3): 162-168. doi: 10.17520/biods.1994027.

Ma K P. Measurement of biotic community diversity I.α diversity (Part 1)[J]. Biodiversity Science, 1994, 2(3): 162-168.

[19] 鲍士旦. 土壤农化分析[M]. 北京: 中国农业出版社, 2000.

Bao S D. Soil agricultural chemistry analysis[M]. Beijing: China Agriculture Press, 2000.

[20] 韦持章,农玉琴,陈远权,陈海生,韦锦坚,李金婷,陆金梅,覃潇敏. 茶树/大豆间作对根际土壤微生物群落及酶活性的影响[J]. 西北农业学报, 2018, 27(4): 537-544.

Wei C Z, Nong Y Q, Chen Y Q, Chen H S, Wei J J, Li J T, Lu J M, Qin X M. Effects of tea and soybean intercropping on soil microbial community and enzyme activity[J]. Acta Agriculturae Boreali-occidentalis Sinica, 2018, 27(4): 537-544.

[21] 付智丹, 周丽, 陈平, 杜青, 庞婷, 杨文钰, 雍太文. 施氮量对玉米/大豆套作系统土壤微生物数量及土壤酶活性的影响[J]. 中国生态农业学报, 2017, 25(10): 1463-1474. doi: 10.13930/j.cnki.cjea.170335.

Fu Z D, Zhou L, Chen P, Du Q, Pang T, Yang W Y, Yong T W. Effects of nitrogen application rate on soil microbial quantity and soil enzymes activities in maize/soybean intercropping systems[J]. Chinese Journal of Eco-Agriculture, 2017, 25(10): 1463-1474.

[22] 王鹏, 祝丽香, 陈香香, 冯惠, 孙文帅, 秦宁. 桔梗与大葱间作对土壤养分、微生物区系和酶活性的影响[J]. 植物营养与肥料学报, 2018, 24(3): 668-675.

Wang P, Zhu L X, Chen X X, Feng H, Sun W S, Qin N. Effects of Platycodon grandiflorum and Allium fistulosum intercropping on soil nutrients, microorganism and enzyme activity[J]. Journal of Plant Nutrition and Fertilizers, 2018, 24(3): 668-675.

[23] 赵莉. 氮添加对紫花苜蓿根区土壤养分及土壤微生物量的影响[J]. 水土保持研究, 2014, 21(6): 35-40. doi: 10.13869/j.cnki.rswc.2014.06.010.

Zhao L. Effects of nitrogen addition on the soil nutrient and microbial biomass in root zone of Medicago sativa[J]. Research of Soil and Water Conservation, 2014, 21(6): 35-40.

[24] 陈瑞州, 李静, 范家慧, 林电. 不同施肥配比对芒果园土壤养分、微生物数量和酶活性的影响[J]. 热带作物学报, 2018, 39(6): 1055-1060. doi: 10.3969/j.issn.1000-2561.2018.06.003.

Chen R Z, Li J, Fan J H, Lin D. Effects of different fertilizer ratio on soil nutrient, microbial quantity and enzyme activity in mango garden[J]. Chinese Journal of Tropical Crops, 2018, 39(6): 1055-1060.

[25] 湛方栋, 何永美, 陈建军, 祖艳群, 李元, 韩明珠. 施氮量对丘北辣椒土壤微生物数量的影响[J]. 云南农业大学学报, 2010, 25(6): 854-861. doi: 10.3969/j.issn.1004-390X.2010.06.020.

Zhan F D, He Y M, Chen J J, Zu Y Q, Li Y, Han M Z. Effects of nitrogen application rate on the quantity of soil microorganisms in Qiubei pepper field[J]. Journal of Yunnan Agricultural University, 2010, 25(6): 854-861.

[26] 马冬云, 郭天财, 宋晓, 王晨阳, 朱云集, 王永华, 岳艳军,查菲娜. 尿素施用量对小麦根际土壤微生物数量及土壤酶活性的影响[J]. 生态学报, 2007, 27(12): 5222-5228.

Ma D Y, Guo T C, Song X, Wang C Y, Zhu Y J, Wang Y H, Yue Y J, Cha F N. Effects of urea application rate on the quantity of microorganisms and activity of enzymes in wheat rhizosphere[J]. Acta Ecologica Sinica, 2007, 27(12): 5222-5228.

[27] 符鲜, 杨树青, 刘德平, 张华, 刘敏, 杨水源, 孙云岭. 套作小麦/玉米不同施氮水平对土壤养分与微生物数量的影响[J]. 干旱区研究, 2017, 34(1): 43-50. doi: 10.13866/j.azr.2017.01.06.

Fu X, Yang S Q, Liu D P, Zhang H, Liu M, Yang S Y, Sun Y L. Effects of different nitrogen application levels on soil nutrient content and soil edaphon population in wheat/corn intercropping field[J]. Arid Zone Research, 2017, 34(1): 43-50.

[28] 霍利霞, 红梅, 赵巴音那木拉, 高海燕, 叶贺. 氮素和水分添加对荒漠草原土壤理化性质及微生物量碳氮的影响[J]. 北方农业学报, 2018, 46(3): 54-59. doi: 10.3969/j.issn.2096-1197.2018.03.11.

Huo L X, Hong M, Zhao B Y N M L, Gao H Y, Ye H. Effects of nitrogen and water addition on the physical and chemical properties of soil and microbial biomass carbon and nitrogen in desert grassland[J]. Journal of Northern Agriculture, 2018, 46(3): 54-59.

[29] 周丽霞, 丁明懋. 土壤微生物学特性对土壤健康的指示作用[J]. 生物多样性, 2007, 15(2): 162-171. doi: 10.1360/biodiv.060290.

Zhou L X, Ding M M. Soil microbial characteristics as bioindicators of soil health[J]. Biodiversity Science,2007, 15(2): 162-171.

Effects of Different Nitrogen Levels on Tea Rhizosphere Microbial Community and Its Role in Adjusting Soil Nutrients

LI Jinting1, HUANG Shaoxin2, WEI Chizhang1, NONG Yuqin1, CHEN Yuanquan1, LIAO Chunwen1,QIN Xiaomin1,2

(1.Guangxi South Subtropical Agricultural Science Research Institute, Longzhou 532405, China;2.College of Resources and Environment, Yunnan Agricultural University, Kunming 650201, China)

Abstract A pot trial was conducted with four nitrogen treatments (N0,N1,N2,N3) to investigate the changes in rhizosphere nutrients, microbial community and their internal relations to provide theoretical basis for the scientific application of nitrogen fertilizer in tea garden. Results showed that compared with CK(N0), the optimum application of nitrogen fertilizer increased the quantity of soil bacteria, fungi and actinomyces, and improved the soil microbial community diversity in tea rhizosphere. It also stimulated the content of alkaline nitrogen, available phosphorus, available potassium and organic matter in tea rhizosphere soil. Besides, the correlation analysis revealed that there was a extremely correlation between soil microbial quantity and soil nutrients under different nitrogen treatments. Our findings demonstrated that the rational application of nitrogen fertilizer could prevent a facilitation on the quantity of soil microorganisms, bacteria, actinomycetes and fungi and the content of available nutrients in tea rhizosphere soil.

Key words: Tea;Nitrogen;Rhizosphere;Soil nutrients;Soil microorganism

中图分类号:S143.1

文献标识码:A

文章编号:1000-7091(2019)增刊-0281-08

doi:10.7668/hbnxb.20190114

收稿日期:2019-03-01

基金项目:广西壮族自治区直属公益性基本科研项目(GXNYRKS201702;GXNYRKS201608;GXNYRKS201703)

作者简介:李金婷(1987-),女,广西龙州人,农艺师,主要从事茶树栽培与加工等研究。

通讯作者:覃潇敏(1989-),女,广西平南人,助理研究员,在读博士,主要从事植物营养与生理调控等研究。