土壤线虫在食物网中扮演着重要的生态角色[1],对生境变化敏感,具有监测土壤系统过程和状况的潜力,因此,常被用作土壤干扰程度的指示性动物[2]。土壤线虫类群和个体数在不同土壤中或同一土壤不同植被类型下表现出明显的差异,土壤线虫群落受农田不同施肥管理措施的影响亦不同。氮肥的使用改变了土壤理化性质[3],对线虫群落组成的影响较大[4],大量施用氮肥可降低线虫总量和不同营养类群线虫的数量,导致土壤线虫多样性降低,不利于农业生态系统的长期可持续发展[5]。有机肥与化肥配施是农田营养管理的重要措施,可改变土壤理化和生物学性状,进而影响到土壤质量和农田生态系统功能,有利于促进农田生产力和作物产量[6-7]。已有研究发现,不同耕作和管理方式下,有机肥与化肥配施对土壤线虫的影响结果也不尽相同[8-10]。
本试验主要研究有机肥与化肥配施对华北潮土区玉米田土壤线虫的影响,旨在探寻不同用量化肥与有机肥配施对土壤线虫群落的影响。
试验点位于农业部环境保护科研监测所武清野外科学试验站(39°21′N,117°12′E),年平均气温11.6 ℃,活动积温4 187.6 ℃,年降水量520~660 mm,土壤类型为潮土。土壤基本理化性质为pH 值7.58,全碳含量10.83 g/kg,全氮含量1.18 g/kg,全磷含量0.72 g/kg,硝态氮含量19.95 mg/kg,铵态氮含量5.06 mg/kg,速效磷含量18.6 mg/kg,速效钾含量50.67 mg/kg。
试验采用随机区组设计,于2010年开始进行对照A0(不施肥)、单施有机肥A1(有机肥15 t/hm2)、化肥减量50%配施有机肥A2(有机肥15 t/hm2;N 基肥55.2 kg/hm2、追肥36.8 kg/hm2;P2O5 81.0 kg/hm2;K2O 75.0 kg/hm2)、常规量化肥配施有机肥A3(有机肥15 t/hm2;N基肥117.3 kg/hm2、追肥78.2 kg/hm2;P2O5 81.0 kg/hm2;K2O 75.0 kg/hm2)、化肥增量50%配施有机肥A4(有机肥15 t/hm2;N基肥172.5 kg/hm2、追肥115.0 kg/hm2;P2O5 81.0 kg/hm2;K2O 75.0 kg/hm2)、单施化肥A5(N基肥117.3 kg/hm2、追肥78.2 kg/hm2;P2O5 81.0 kg/hm2;K2O 75.0 kg/hm2)。每个处理3 次重复,小区面积为400 m2,各小区间隔50 cm。有机肥由牛粪和鸡粪混合堆腐而成;氮肥为尿素(N,46.4%),磷肥为过磷酸钙(P2O5,12%),钾肥为硫酸钾(K2O,50%);有机肥和磷钾肥作基肥,氮肥60% 作基肥,40%在玉米小喇叭口期作追肥施入。田间管理同一般大田生产。种植制度为冬小麦-夏玉米轮作。
2015年9月底采集土壤样品。采集时,去除地表杂物,分别随机划分3个区域,在近玉米株处选择面积为50 cm×50 cm的样点,用100 cm3土壤取样器取0~15 cm土层样品,放入封口袋中密封带回。
1.4.1 土壤线虫的分离与鉴定 称取50.0 g鲜土采用浅盘法分离土壤线虫。用立体显微镜对线虫进行计数,折算为100 g干土中的数量。此外,每个样本随机选择100条线虫(不满100条的全部鉴定),根据《中国土壤动物检索图鉴》线虫形态分类鉴定法[11],在高倍镜(200×)下进行分类鉴定到属。根据线虫形态特征进行营养类型分类,根据线虫的生活史确定其c-p值[12]。
1.4.2 线虫群落分析 根据其分类计算线虫的生态指标及结构指数[12-16]。线虫丰度以每100 g干土中线虫总数表达;土壤线虫的相对丰度(RA)为该属线虫数量占本处理中总线虫属数量的比例;各营养类群相对丰度分别为每100 g土中植食性线虫、食细菌性线虫、食真菌性线虫、捕食性线虫和杂食-捕食性线虫占线虫总量的百分比;Shannon-Wiener 多样性指数:H =-∑pilnpi (i =1,2,3,…,S), 其中pi是样本中第i个分类单元中个体数占线虫总个体数量的比例;Pielon均匀度指数J=H /lnS, 其中,H为Shannon-Wiener 多样性指数,S为鉴定分类单元的数目;Simpson优势度指数:λ=∑pi2, 其中,pi为第i个分类单元中个体数占线虫总个体数量的比例;富集指数EI=100×(e/(e+b)), 式中,b主要指Ba2和Fu2 这2个类群,e主要指Ba1和Fu2 这2个类群;结构指数SI=100×(s/(s+b)), 式中,s包括Ba3-Ba5、Fu3-Fu5、Om3-Om5、Ca2-Ca5类群;线虫通路指数NCR=NB/(NB+NF), 式中,NB指食细菌性线虫的数量,NF指食真菌性线虫的数量。
整个调查期共鉴定土壤线虫18个属(表1),其中,包括8个食细菌性线虫、3个食真菌性线虫、2个杂食-捕食性线虫和5个植食性线虫。不同处理线虫类群数不同,A0、A1、A2、A3、A4、A5依次为:16,17,18,16,15,14个属,与不施肥A0处理相比,单施有机肥A1线虫类群数增加6.25%,而单施化肥A5降低了12.50%,二者配施处理A2、A3和A4分别变化了12.50%,0.00%和-6.25%,说明有机肥能促进线虫类群数,而化肥降低线虫类群数,二者配施线虫类群数随化肥施用量的增加而降低。不同处理的线虫优势属存在差异,螺旋线虫属(Helicotylenchus)在所有处理中均为优势属;拟丽突线虫属(Acrobeloides)在A1和A5中为优势属;真头叶线虫属(Eucephalobus)在A0中为优势属;原杆线虫属(Protorhabditis)在含有基肥处理A1~A4中为优势属;盘咽线虫属(Discolaimus)在A4和A5中为优势属。土壤线虫营养类群在不同处理亦有差异,食细菌线虫、食真菌线虫、杂食-捕食性线虫和植食性线虫分别在A1、A5、A5和A3中丰度最高,分别为47.67%,6.67%,16.33%和53.00%。
表1 不同施肥处理玉米田土壤线虫的丰度
Tab.1 Abundance of soil nematodes of different genus under different treatments %

类群(属)Taxa (Genus)c-p相对丰度 Relative abundance A0A1A2A3A4A5线虫总优势度Degree of dominance食细菌性线虫Ba Bacterivores1741.3347.6738.6736.6744.0042.00+++拟丽突线虫属 Acrobeloides24.0010.673.675.677.6712.67++无咽线虫属 Alaimus43.672.674.334.335.673.33++丽突线虫属 Acrobeles25.001.332.000.33-1.33++头叶线虫属 Cephalobus28.3310.007.008.339.679.00++真头叶线虫属 Eucephalobus215.339.006.004.006.678.00++单宫线虫属 Monhystera1-0.330.67---+棱咽线虫属 Prismatolaimus3-2.672.000.672.671.33++原杆线虫属 Protorhabditis15.0011.0013.0013.3311.676.33+++食真菌性线虫Fu Fungivores84.333.005.333.002.006.67++真滑刃线虫属 Aphelenchus21.670.671.001.671.673.67++短矛线虫属 Doryllium40.67-0.33---+茎线虫属 Ditylenchus22.002.334.001.330.333.00++杂食-捕食性线虫Om-Ca Omnivores-predatores1010.6710.677.677.3312.3316.33+++孔咽线虫属 Aporcelaimus51.674.332.003.001.002.33++盘咽线虫属 Discolaimus59.006.335.674.3311.3314.00++植食性线虫Pp Herbivores1343.6738.6748.3353.0041.6735.00+++螺旋线虫属 Helicotylenchus321.0023.0031.6740.3328.3325.67+++短体线虫属 Pratylenchus310.003.676.007.004.003.00++矮化线虫属 Tylenchorhynchus32.671.672.001.003.33-++散香线虫属 Boleodorus28.338.676.003.335.006.33++滑刃线虫属 Aphelenchoides21.671.672.671.331.00-++
注:+++.RA>10%,为优势属;++.1%≤RA≤10%,为常见属;+.RA<1%,为稀有属。
Note:+++.RA>10%,dominant genera;++.1%≤RA≤10%,common genera;+.RA<1%,rare genera.
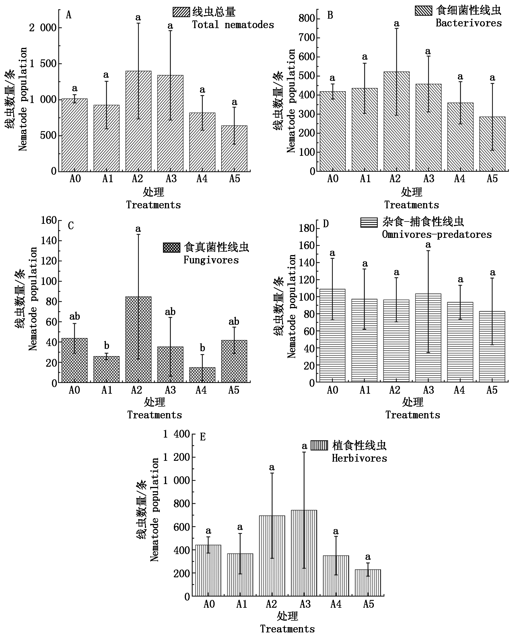
不同施肥处理对土壤线虫总量及各营养类群线虫数量动态变化如图1所示。不同营养类群对施肥处理的响应不同,除食真菌性线虫在A2处理显著高于A1和A4处理(P<0.05)外,线虫总量及其他营养类群在处理间均无显著差异(P>0.05)。有机肥与化肥配施处理A2~A4中,线虫总量(图1-A)、食细菌性线虫数量(图1-B)、食真菌性线虫数量(图1-C)均随化肥施入量的增加而降低,表明过多的化肥混施不利于其生长繁殖。所有处理中,A2处理的线虫总量、食细菌性线虫和食真菌性线虫数量均高于其他处理,植食性线虫数量也仅次于A3处理,表明化肥减量50%与有机肥配施可促进线虫数量的增加;A5的线虫总量、食细菌性线虫、杂食-捕食性线虫和植食性线虫数量均最低,表明单施化肥降低了线虫数量。

不同处理间不同字母代表差异显著(P<0.05)。
Different letters in the different treatment meant significant difference at 0.05 level.
图1 不同施肥与土壤线虫总量、食细菌性线虫、食真菌性线虫、杂食-捕食性线虫和植食性线虫的数量动态变化
Fig.1 The amount of total nematodes,bacterivores,fungivores,omnivores-predatores and herbivores at different treatments
不同施肥措施下土壤线虫各生态学指数动态变化如表2所示。多样性指数(H′)在A3处理显著低于A0、A1、A2处理(P<0.05),均匀度指数(J)在A3处理显著低于其他各处理(P<0.05),而优势度指数在A3处理显著高于其他处理(P<0.05),表明常规化肥配施有机肥处理土壤线虫具有高度优势度和较低的均匀度和多样性。各处理的富集指数(EI)值波动较大,处理A1~A5均显著高于对照A0(P<0.05),且有机肥处理A1~A4均高于单施化肥A5,其中,A2、A3处理与A5差异达显著水平(P<0.05),表明施肥处理区养分状况优于对照区,而含有机肥处理亦优于单施化肥处理区。结构指数(SI)在处理间差异均不显著(P>0.05),其中,A1~A4处理中EI值和SI值均大于50,表明受干扰程度较小,食物网成熟稳定;而A0、A5均表现为EI<50,SI>50,表明食物网养分状况差,食物网正在形成,进一步说明有机肥处理对食物网成熟稳定有促进作用。线虫通道指数值均较高,表明所有处理中土壤有机质分解过程以细菌通道为主,土壤食物网有机质分解和营养转化效率较高;A5处理NCR显著低于其他处理(P<0.05),表明单施化肥明显降低了细菌分解途径。
表2 不同处理下的土壤线虫生态指标
Tab.2 Ecological indices of soil nematode community in different treatments

生态指数Ecological indicesA0A1A2A3A4A5多样性指数(H') Shannon-Wiener index2.27±0.11a2.35±0.09a2.28±0.15a1.99±0.16b2.18±0.16ab2.19±0.12ab均匀度指数(J) Evenness index0.87±0.03a0.86±0.04a0.83±0.03a0.75±0.05b0.87±0.07a0.87±0.04a优势度指数(λ) Dominance0.13±0.02b0.12±0.02b0.15±0.01b0.22±0.05a0.15±0.04b0.15±0.03b富集指数(EI) Enrichment index9.04±0.21c56.89±3.82ab69.74±9.21a70.98±6.02a64.86±10.74ab42.59±8.75b结构指数(SI) Structure index70.02±2.14a70.68±4.03a72.51±10.74a75.00±10.33a80.87±4.24a75.83±6.11a线虫通道指数(NCR) Nematode channel ratio0.89±0.02a0.94±0.02a0.88±0.08a0.93±0.04a0.95±0.05a0.86±0.04b
注:不同小写字母表示处理间差异显著(P<0.05)。
Note: Different lowercase letters in the different treatment meant significant difference at 0.05 level.
有机肥的使用能减少化肥过量施用所带来的环境问题,提高土壤肥力,增加作物产量,给土壤动物提供稳定的土壤条件[17]。土壤线虫群落分析已成为指示土壤生态系统结构和功能变化的有力工具[18]。不同施肥措施对土壤理化性质的改变可以直接或间接通过影响植物生长或微生物活动而影响线虫的丰度和群落结构[19]。研究发现,与单施化肥相比,有机肥与化肥配施能明显增加土壤线虫总量[19-21],本研究中,有机肥与化肥配施土壤线虫丰度也高于单施化肥,但差异不显著(P>0.05),可能是由于有机肥与化肥配施的比例不同。Liu等[22]和刘艳军等[23]研究表明,有机肥、化肥的施用能显著降低线虫总量,本研究中,单施化肥、单施有机肥线虫数量与对照相比均呈下降趋势,但未达到显著水平(P>0.05)。调查还发现,在有机肥与化肥配施过程中,线虫总量随化肥施用量的增加呈下降趋势,可能是由于土壤酸化和化肥中氨毒害等直接作用对土壤线虫造成了危害[24-25]。各处理中植食性线虫丰度依次为A3(53.00%)>A2(48.33%)>A0(43.67%)>A4(41.67%)>A1(38.67%)>A5(35.00%),表明有机肥与化肥合理配施(A3和A2)可促进植食性线虫丰度升高,而单施有机肥(A1)或化肥(A5)以及有机肥与高量化肥配施(A4)均导致植食性线虫丰度下降,这可能是有机肥与适量化肥配施不仅增加了土壤养分,还增加了植物的生物量,尤其是根部生物量,为植食性线虫提供了丰富食物[26],促进了优势种群数量的增加。而大量化肥的使用抑制了植食性线虫 [22,27-28],可能是化肥产生了一些对植食性线虫有害的物质抑制了其生长繁殖[26]。另外,植食性线虫与土壤有机质含量呈显著负相关[29],混施中随化肥施用量的增多植食性线虫呈明显下降趋势,可能是由于土壤中有机质含量随混施化肥量的增多而增加。研究发现,食细菌性线虫在有机肥处理区明显大于化肥处理区[6],本试验混施处理中食细菌性线虫高于单施化肥处理,表明有机肥在混施处理中可促进食细菌线虫生存繁殖。混施处理中食真菌性线虫随化肥增多显著降低(P<0.05),这可能是由于化肥中氮的增多抑制了土壤真菌生物量[30],从而显著降低了食真菌线虫丰度。
土壤线虫群落的不同生态指标对不同施肥处理的响应存在差异,表明各处理对土壤线虫群落的生态指标产生了不同的影响。有机肥、化肥均能显著增加线虫的多样性指数(H)[31],本试验中单施有机肥较对照多样性指数(H)有所提高,但有机肥与化肥配施中线虫多样性指数(H)随化肥施用量的增加而降低,这是由于混施中化肥大量地施用对线虫多样性有抑制作用;与单施有机肥相比,有机肥与少量化肥配施降低了线虫均匀度指数,这可能是由于化肥的使用降低了线虫多样性所致 [32],表明化肥的大量使用简化了线虫群落结构与功能[22]。从调查结果来看,有机肥的施用对食物网成熟稳定有促进作用,一方面由于有机肥为食物网提供了丰富的营养物质,另一方面显著增加了食细菌性线虫、食真菌性线虫、杂食/捕食性线虫数量[8],表明有机肥的使用可以增加土壤肥力,缓冲土壤压力,提高食物网稳定性,维持土壤食物网功能[22]。单施化肥明显降低了细菌分解途径,这可能是由于长期施肥增加了食真菌与食细菌线虫的比例[32],提高了真菌分解途径,从而降低了细菌分解途径。施肥后还显著增加了土壤富集指数(EI)(P<0.05),反映施肥后明显增加了食物供应,改善了土壤养分状况[33]。
综上所述,单施化肥降低了线虫种类、总量及各营养类群数量,不利于食物网成熟稳定。有机肥和化肥配施处理中,线虫总量、食细菌性线虫、食真菌性线虫随化肥施用量的增加呈下降趋势,植食性线虫、杂食/捕食性线虫丰度呈先增加后降低的变化趋势。化肥减量50%配施有机肥对线虫群落有促进作用,而化肥增量50%配施有机肥对线虫数量及种类有明显的抑制作用,常规化肥配施有机肥降低了物种的均匀分布,使物种多样性下降,不利于线虫群落结构的稳定。
[1] 邵元虎, 张卫信, 刘胜杰, 等. 土壤动物多样性及其生态功能[J]. 生态学报, 2015,35(20): 6614-6625.
[2] Bongers T, Bongers M. Functional diversity of nematodes [J]. Applied Soil Ecology, 1998, 10(3): 239-251.
[3] 肖晗冉. 氮添加与凋落物处理对苏北杨树人工林土壤动物群落结构的影响[D]. 南京:南京林业大学, 2017.
[4] Song M, Li X M, Jing S S, et al. Responses of soil nematodes to water and nitrogen additions in an old-field grassland[J]. Applied Soil Ecology, 2016, 102: 53-60.
[5] 孙 震, 刘满强, 桂 娟, 等. 减施氮肥和控制灌溉对稻田土壤线虫群落的影响[J]. 生态学杂志, 2014,33(3): 659-665.
[6] Hu C, Qi Y C. Effect of compost and chemical fertilizer on soil nematode community in a Chinese maize field [J]. European Journal of Soil Biology, 2010, 46(3-4):230-236.
[7] 郝小雨, 周宝库, 马星竹, 等. 长期不同施肥措施下黑土作物产量与养分平衡特征[J]. 农业工程学报, 2015, 31(16): 178-185.
[8] Forge T A, Bittman S, Kowalenko C G. Responses of grassland soil nematodes and protozoa to multi-year and single-year applications of dairy manure slurry and fertilizer [J]. Soil Biology and Biochemistry, 2005, 37(10):1751-1762.
[9] Zhang Z Y, Zhang X K, Mahamood M D, et al. Effect of long-term combined application of organic and inorganic fertilizers on soil nematode communities within aggregates [J]. Scientific Reports, 2016,6(1): 31118.
[10] Takahiro I, Masaaki A, Masakazu K, et al. Soil nematode community structure affected by tillage systems and cover crop managements in organic soybean production [J]. Applied Soil Ecology,2015,86: 137-147.
[11] 尹文英. 中国土壤动物检索图鉴[M]. 北京:科学出版社, 1998.
[12] Ferris H, Bongers T, de Goede R G M. A framework for soil food web diagnostics: extension of the nematode faunal analysis concept [J]. Applied Soil Ecology, 2001, 18(1): 13-29.
[13] Shannon C E, Weaver W, Wiener N. The mathematical theory of communication [J]. Physics Today, 1950,3(9): 31-32.
[14] Pielou E C. Ecological diversity [M]. New York: John Wiley and Sons,1975.
[15] Simpson E. Measurement of diversity [J]. Nature, 1949,163 (4148): 668.
[16] Neher D A. Role of nematodes in soil health and their use as indicators [J]. Journal of Nematology, 2001, 33(4):161-168.
[17] Zhu X Y, Zhu B. Diversity and abundance of soil fauna as influenced by long-term fertilization in cropland of purple soil, China [J]. Soil and Tillage Research, 2015, 146:39-46.
[18] 陈云峰, 韩雪梅, 李钰飞, 等. 线虫区系分析指示土壤食物网结构和功能研究进展[J].生态学报, 2014, 34(5) : 1072-1084.
[19] Liang W J, Lou Y L, Li Q, et al. Nematode faunal response to long-term application of nitrogen fertilizer and organic manure in Northeast China [J]. Soil Biology and Biochemistry, 2009, 41(5): 883-890.
[20] 朱新玉, 朱 波. 不同施肥方式对紫色土农田土壤动物主要类群的影响[J]. 中国农业科学, 2015, 48(5): 911-920.
[21] Liu T, Whalen J K, Shen Q R, et al. Increase in soil nematode abundance due to fertilization was consistent across moisture regimes in a paddy rice-upland wheat system [J]. European Journal of Soil Biology, 2016, 72: 21-26.
[22] Liu T, Chen X Y, Hu F, et al. Carbon-rich organic fertilizers to increase soil biodiversity: evidence from a meta-analysis of nematode communities [J]. Agriculture, Ecosystems and Environment, 2016, 232 (16): 199-207.
[23] 刘艳军, 张喜林, 高中超, 等. 长期施肥对土壤线虫群落结构的影响[J]. 中国农学通报, 2011, 27(21):287-291.
[24] Wei C Z, Zheng H F, Li Q, et al. Nitrogen addition regulates soil nematode community composition through ammonium suppression [J]. PLoS One, 2012,7(8): e43384.
[25] Chen D M, Lan Z C, Bai X, et al. Evidence that acidification-induced declines in plant diversity and productivity are mediated by changes in below-ground communities and soil properties in a semi-arid steppe [J]. Journal of Ecology, 2013,101: 1322-1334.
[26] Pan F J, McLaughlin N B, Yu Q, et al. Responses of soil nematode community structure to different long-term fertilizer strategies in the soybean phase of a soybean-wheat-corn rotation [J]. European Journal of Soil Biology, 2010, 46(2): 105-111.
[27] Song M, Jing S S, Zhou Y Q, et al. Dynamics of soil nematode communities in wheat fields under different nitrogen management in Northern China Plain [J]. European Journal of Soil Biology, 2015, 71:13-20.
[28] Azpilicueta C V, Aruani M C, Chaves E, et al. Soil nematode responses to fertilization with ammonium nitrate after six years of unfertilized apple orchard [J]. Spanish Journal of Agricultural Research, 2014, 12: 353-363.
[29] 王 琳, 张利敏, 林 琳, 等.土壤线虫群落对过量施用农用化学品的响应[J].中国生态农业学报, 2013, 21(6): 728-736.
[30] 宋 敏.增加降水及施氮对弃耕草地土壤线虫和小型节肢动物的影响[J].生态学杂志,2017, 36(3):631-639.
[31] 刘 婷, 叶成龙, 李 勇, 等. 不同有机类肥料对小麦和水稻根际土壤线虫的影响[J]. 生态学报, 2015, 35(19): 6259-6268.
[32] 娄翼来, 李 慧, 姜 勇, 等. 设施菜地长期施肥对土壤线虫群落结构和多样性的影响[J]. 土壤通报, 2013, 44(1): 106-109.
[33] Liu T, Guo R, Ran W, et al. Body size is a sensitive trait-based indicator of soil nematode community response to fertilization in rice and wheat agroecosystems[J]. Soil Biology and Biochemistry, 2015, 88: 275-281.